Официальное опубликование правовых актов
ОФИЦИАЛЬНОЕ ОПУБЛИКОВАНИЕ
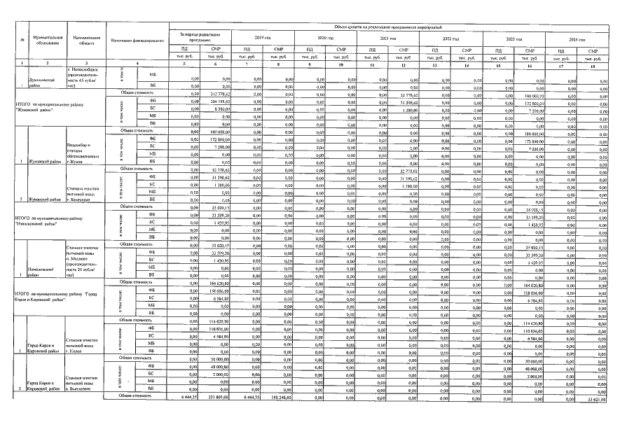
Постановление Правительства Калужской области от 27.05.2020 № 408
"О внесении изменений в постановление Правительства Калужской области от 31.07.2019 № 480 "Об утверждении региональной программы по повышению качества водоснабжения в Калужской области на 2019 - 2024 годы" (в ред. постановления Правительства Калужской области от 30.09.2019 № 613)"
Номер опубликования: 4000202005290001
Дата опубликования: 29.05.2020
Страница №19 из 42:
Увеличить