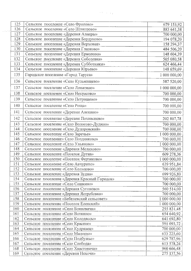
Постановление Правительства Калужской области от 15.04.2020 № 307
"Об утверждении распределения субсидий между муниципальными образованиями Калужской области на реализацию проектов развития общественной инфраструктуры муниципальных образований, основанных на местных инициативах, на 2020 год"
"Об утверждении распределения субсидий между муниципальными образованиями Калужской области на реализацию проектов развития общественной инфраструктуры муниципальных образований, основанных на местных инициативах, на 2020 год"
Номер опубликования: 4000202004160018
Дата опубликования:
16.04.2020
