Официальное опубликование правовых актов
ОФИЦИАЛЬНОЕ ОПУБЛИКОВАНИЕ
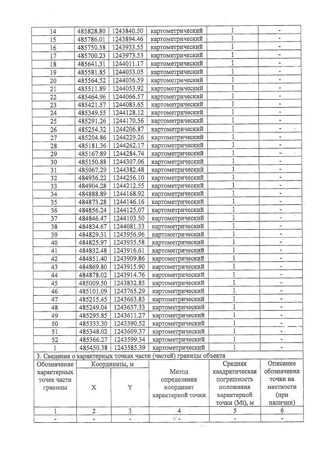
Постановление Правительства Калужской области от 21.02.2020 № 123
"реорганизации особо охраняемой природной территории регионального значения – памятника природы "Болото "Зубовское"
Номер опубликования: 4000202002270022
Дата опубликования: 27.02.2020
Страница №3 из 7:
Увеличить