Постановление Правительства Калужской области от 30.01.2020 № 62
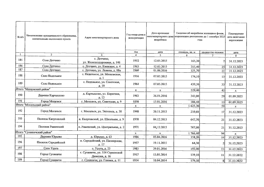
"О внесении изменений в постановление Правительства Калужской области от 25.03.2019 № 170 "Об утверждении региональной адресной программы по переселению граждан из аварийного жилищного фонда на территории муниципальных образований Калужской области на 2019 - 2025 годы"
"О внесении изменений в постановление Правительства Калужской области от 25.03.2019 № 170 "Об утверждении региональной адресной программы по переселению граждан из аварийного жилищного фонда на территории муниципальных образований Калужской области на 2019 - 2025 годы"
Номер опубликования: 4000202002050015
Дата опубликования:
05.02.2020
