Официальное опубликование правовых актов
ОФИЦИАЛЬНОЕ ОПУБЛИКОВАНИЕ
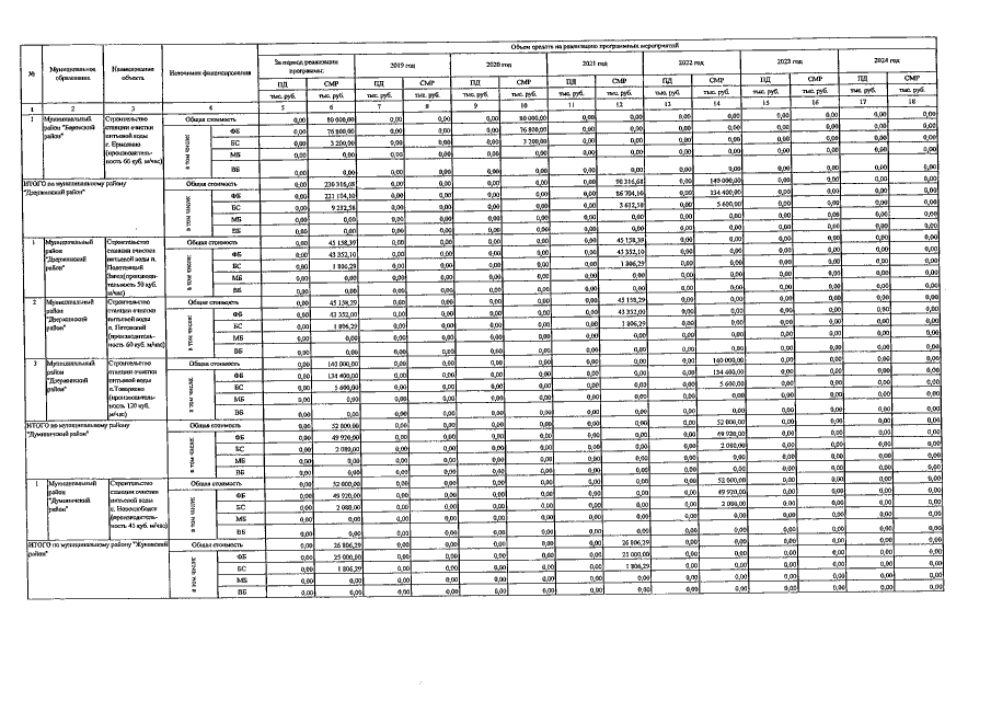
Постановление Правительства Калужской области от 30.09.2019 № 613
"О внесении изменений в постановление Правительства Калужской области от 31.07.2019 № 480 "Об утверждении региональной программы по повышению качества водоснабжения в Калужской области на 2019 - 2024 годы"
Номер опубликования: 4000201910040007
Дата опубликования: 04.10.2019
Страница №8 из 28:
Увеличить