Официальное опубликование правовых актов
ОФИЦИАЛЬНОЕ ОПУБЛИКОВАНИЕ
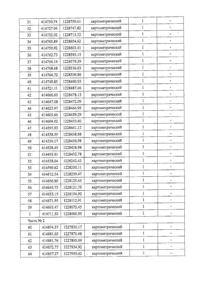
Постановление Правительства Калужской области от 01.08.2019 № 484
"О внесении изменения в постановление Правительства Калужской области от 20.07.2018 № 433 "О реорганизации особо охраняемой природной территории регионального значения – памятника природы "Усадьба "Шалово"
Номер опубликования: 4000201908020016
Дата опубликования: 02.08.2019
Страница №4 из 7:
Увеличить