Официальное опубликование правовых актов
ОФИЦИАЛЬНОЕ ОПУБЛИКОВАНИЕ
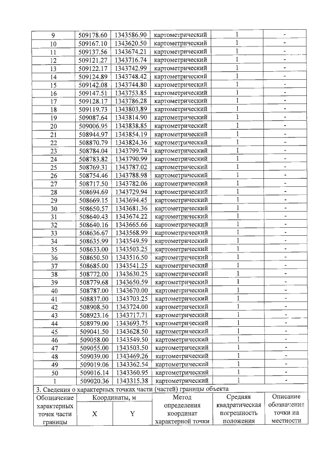
Постановление Правительства Калужской области от 24.07.2019 № 466
"Об объявлении поймы реки Нара с водопадом "Радужный" особо охраняемой природной территорией регионального значения – памятником природы"
Номер опубликования: 4000201907290003
Дата опубликования: 29.07.2019
Страница №3 из 7:
Увеличить