Официальное опубликование правовых актов
ОФИЦИАЛЬНОЕ ОПУБЛИКОВАНИЕ
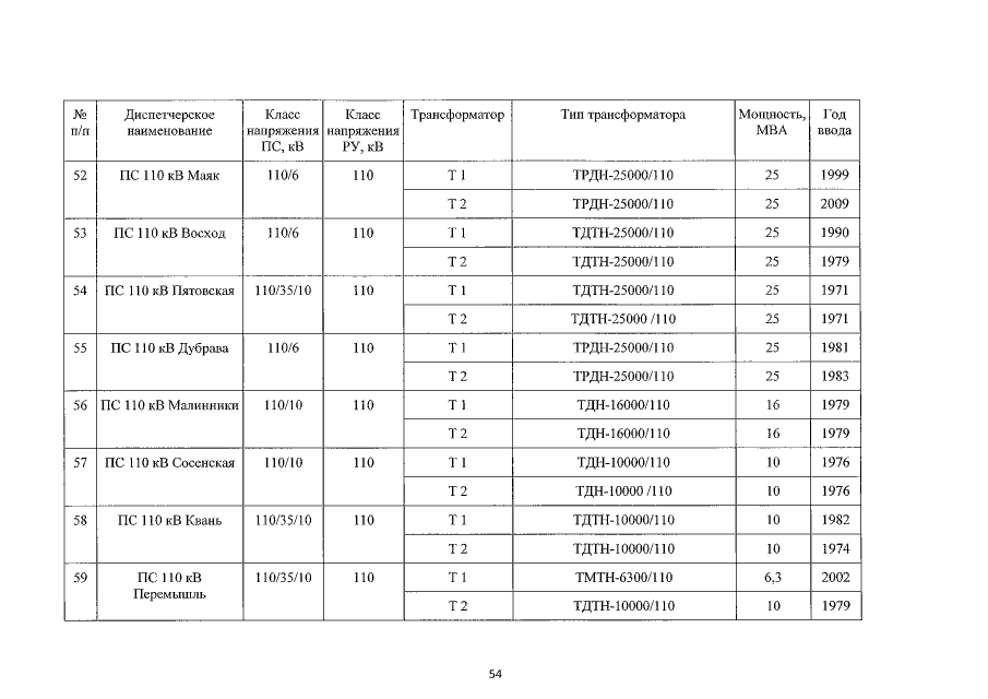
Постановление Губернатора Калужской области от 26.04.2019 № 206 "Об утверждении схемы и программы развития электроэнергетики Калужской области на 2020-2024 годы"
Номер опубликования: 4000201904300011
Дата опубликования: 30.04.2019
Страница №54 из 107:
Увеличить