Официальное опубликование правовых актов
ОФИЦИАЛЬНОЕ ОПУБЛИКОВАНИЕ
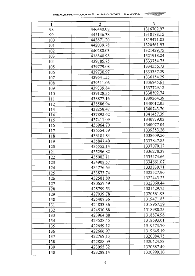
Постановление Правительства Калужской области от 15.02.2019 № 114 "О согласовании проекта решения об установлении приаэродромной территории аэродрома "Калуга" (Грабцево)"
Номер опубликования: 4000201902200001
Дата опубликования: 20.02.2019
Страница №7 из 138:
Увеличить