Официальное опубликование правовых актов
ОФИЦИАЛЬНОЕ ОПУБЛИКОВАНИЕ
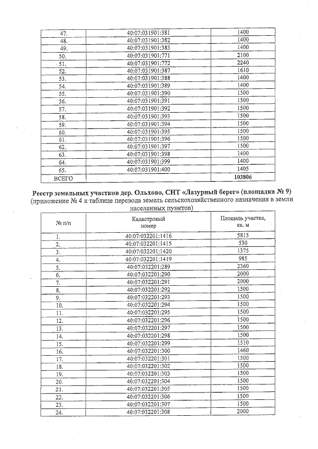
Постановление Правительства Калужской области от 30.01.2019 № 41 "О согласовании проекта изменений в генеральный план сельского поселения "Деревня Корсаково" Жуковского района Калужской области"
Номер опубликования: 4000201902050001
Дата опубликования: 05.02.2019
Страница №10 из 17:
Увеличить