Официальное опубликование правовых актов
ОФИЦИАЛЬНОЕ ОПУБЛИКОВАНИЕ
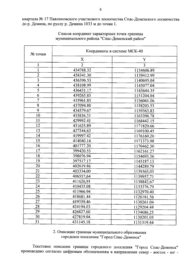
Закон Калужской области от 26.04.2018 № 329-ОЗ
"О внесении изменений в Закон Калужской области "Об установлении границ муниципальных образований, расположенных на территории административно-территориальных единиц "Барятинский район", "Куйбышевский район", "Людиновский район", "Мещовский район", "Спас-Деменский район", "Ульяновский район", и наделении их статусом городского поселения, сельского поселения, муниципального района"
Номер опубликования: 4000201805030006
Дата опубликования: 03.05.2018
Страница №6 из 44:
Увеличить