Официальное опубликование правовых актов
ОФИЦИАЛЬНОЕ ОПУБЛИКОВАНИЕ
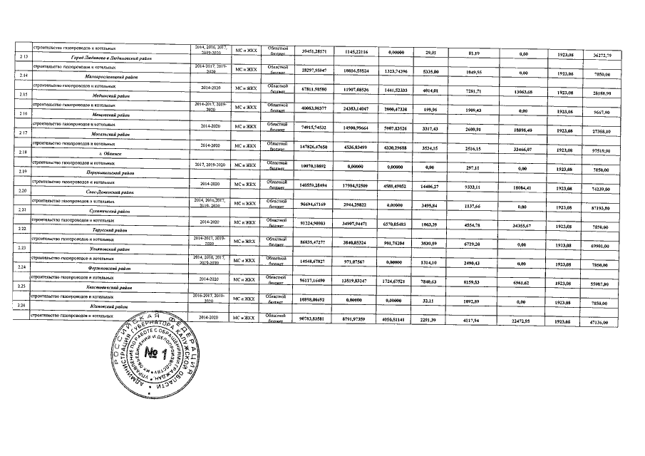
Постановление Правительства Калужской области от 07.09.2017 № 514
"О внесении изменений в постановление Правительства Калужской области от 31.12.2013 № 772 "Об утверждении государственной программы Калужской области "Обеспечение доступным и комфортным жильем и коммунальными услугами населения Калужской области" (в ред. постановлений Правительства Калужской области от 15.04.2014 № 241, от 15.05.2014 № 303, от 29.05.2014 № 326, от 30.05.2014 № 328, от 20.06.2014 № 361, от 02.07.2014 № 389, от 22.08.2014 № 496, от 02.09.2014 № 522, от 29.09.2014 № 566, от 07.11.2014 № 654, от 17.11.2014 № 672, от 23.01.2015 № 39, от 30.04.2015 № 243, от 07.05.2015 № 251, от 26.06.2015 № 348, от 28.12.2015 № 747, от 29.02.2016 № 126, от 18.03.2016 № 182, от 06.06.2016 № 317, от 05.09.2016 № 479, от 12.09.2016 № 491, от 20.03.2017 № 144, от 23.06.2017 № 366, от 15.08.2017 № 457)"
Номер опубликования: 4000201709120004
Дата опубликования: 12.09.2017
Страница №23 из 23:
Увеличить