Официальное опубликование правовых актов
ОФИЦИАЛЬНОЕ ОПУБЛИКОВАНИЕ
Постановление Правительства Калужской области от 31.05.2016 № 314
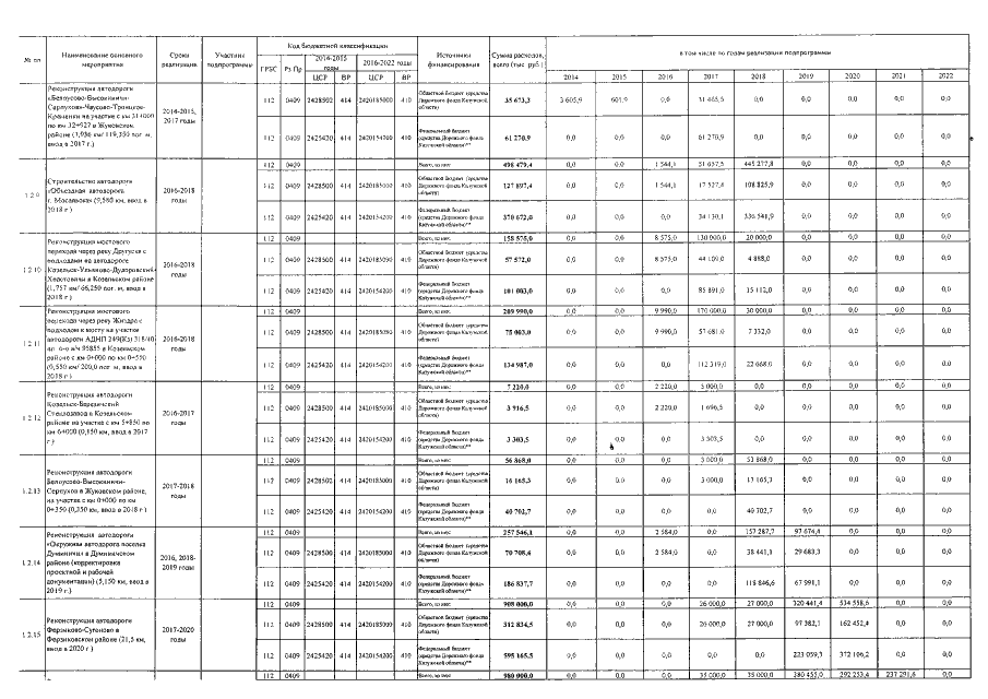
"О внесении изменений в постановление Правительства Калужской области от 04.12.2013 № 652 "Об утверждении государственной программы Калужской области "Развитие дорожного хозяйства Калужской области" (в ред. постановлений Правительства Калужской области от 18.12.2013 № 704, от 01.04.2014 № 217, от 14.08.2014 № 477, от 11.12.2014 № 735, от 27.04.2015 № 228, от 01.10.2015 № 552, от 30.11.2015 № 666, от 26.02.2016 № 123)"
Номер опубликования: 4000201606070007
Дата опубликования: 07.06.2016
Страница №14 из 37:
Увеличить