Официальное опубликование правовых актов
ОФИЦИАЛЬНОЕ ОПУБЛИКОВАНИЕ
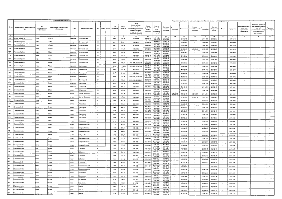
Постановление Правительства Калужской области от 20.04.2016 № 258
"О внесении изменения в постановление Правительства Калужской области от 30.12.2013 № 753 "Об утверждении региональной программы капитального ремонта общего имущества в многоквартирных домах, расположенных на территории Калужской области, на 2014-2043 годы" (в ред. постановлений Правительства Калужской области от 03.06.2014 № 335, от 07.11.2014 № 655, от 22.04.2015 № 214, от 22.05.2015 № 272, от 26.06.2015 № 347, от 05.08.2015 № 437, от 16.11.2015 № 639)"
Номер опубликования: 4000201604250004
Дата опубликования: 25.04.2016
Страница №157 из 173:
Увеличить