Официальное опубликование правовых актов
ОФИЦИАЛЬНОЕ ОПУБЛИКОВАНИЕ
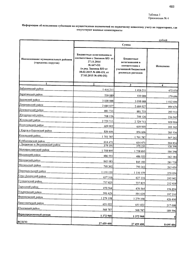
Постановление Правительства Калужской области от 01.06.2015 № 293
"Об отчете об исполнении областного бюджета за 1 квартал 2015 года 2 часть"
Номер опубликования: 4000201506030030
Дата опубликования: 03.06.2015
Страница №484 из 499:
Увеличить