Официальное опубликование правовых актов
ОФИЦИАЛЬНОЕ ОПУБЛИКОВАНИЕ
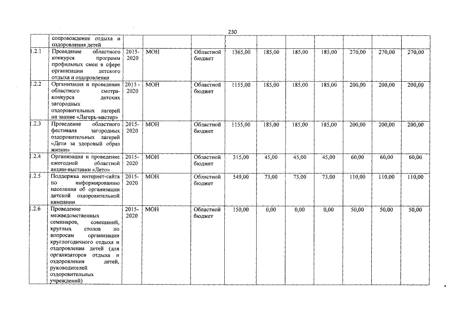
Постановление Правительства Калужской области от 30.03.2015 № 170
"О внесении изменений в постановление Правительства Калужской области от 20.12.2013 № 713 "Об утверждении государственной программы Калужской области "Развитие образования в Калужской области" (в ред. постановлений Правительства Калужской области от 21.02.2014 № 122, от 14.08.2014 № 478, от 28.08.2014 № 511, от 06.10.2014 № 580, от 28.11.2014 № 699, от 11.12.2014 № 734)"
Номер опубликования: 4000201503310017
Дата опубликования: 31.03.2015
Страница №231 из 239:
Увеличить