Официальное опубликование правовых актов
ОФИЦИАЛЬНОЕ ОПУБЛИКОВАНИЕ
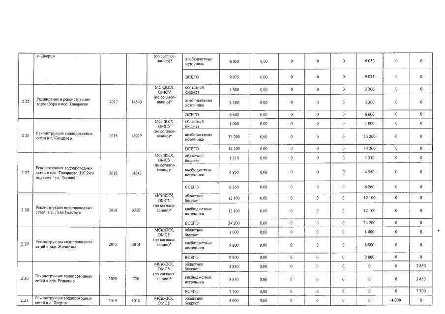
Постановление Правительства Калужской области от 23.01.2015 № 39
"О внесении изменений в постановление Правительства Калужской области от 31.12.2013 № 772 "Об утверждении государственной программы Калужской области "Обеспечение доступным и комфортным жильем и коммунальными услугами населения Калужской области" (в ред. постановлений Правительства Калужской области от 15.04.2014 № 241, от 15.05.2014 № 303, от 29.05.2014 № 326, от 30.05.2014 № 328, от 20.06.2014 № 361, от 02.07.2014 № 389, от 22.08.2014 № 496, ль 02.09.2014 № 522, от 29.09.2014 № 566, от 07.11.2014 № 654, от 17.11.2014 № 672)"
Номер опубликования: 4000201501280006
Дата опубликования: 28.01.2015
Страница №56 из 118:
Увеличить