Приказ Службы государственной охраны объектов культурного наследия Калининградской области от 24.03.2026 № 88
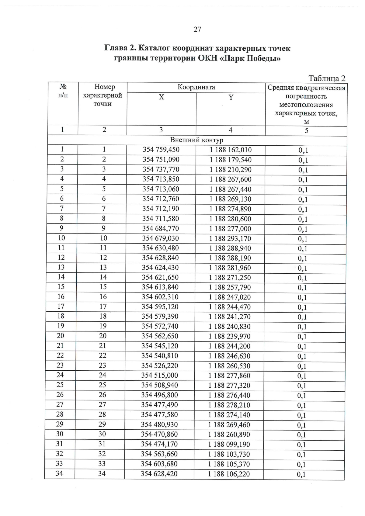
"О включении выявленного объекта культурного наследия в единый государственный реестр объектов культурного наследия (памятников истории и культуры) народов Российской Федерации в качестве объекта культурного наследия регионального значения "Мемориальный комплекс "Парк Победы", 1945 год, 1988 год, Калининградская область, город Калининград, улица Генерал-фельдмаршала Румянцева – Гвардейский проспект, и об утверждении предмета охраны объекта культурного наследия, границ и режима использования территории объекта культурного наследия"
(Зарегистрирован 25.03.2026 № ГР/196/2026)
"О включении выявленного объекта культурного наследия в единый государственный реестр объектов культурного наследия (памятников истории и культуры) народов Российской Федерации в качестве объекта культурного наследия регионального значения "Мемориальный комплекс "Парк Победы", 1945 год, 1988 год, Калининградская область, город Калининград, улица Генерал-фельдмаршала Румянцева – Гвардейский проспект, и об утверждении предмета охраны объекта культурного наследия, границ и режима использования территории объекта культурного наследия"
(Зарегистрирован 25.03.2026 № ГР/196/2026)
Номер опубликования: 3901202603250003
Дата опубликования:
25.03.2026
