Официальное опубликование правовых актов
ОФИЦИАЛЬНОЕ ОПУБЛИКОВАНИЕ
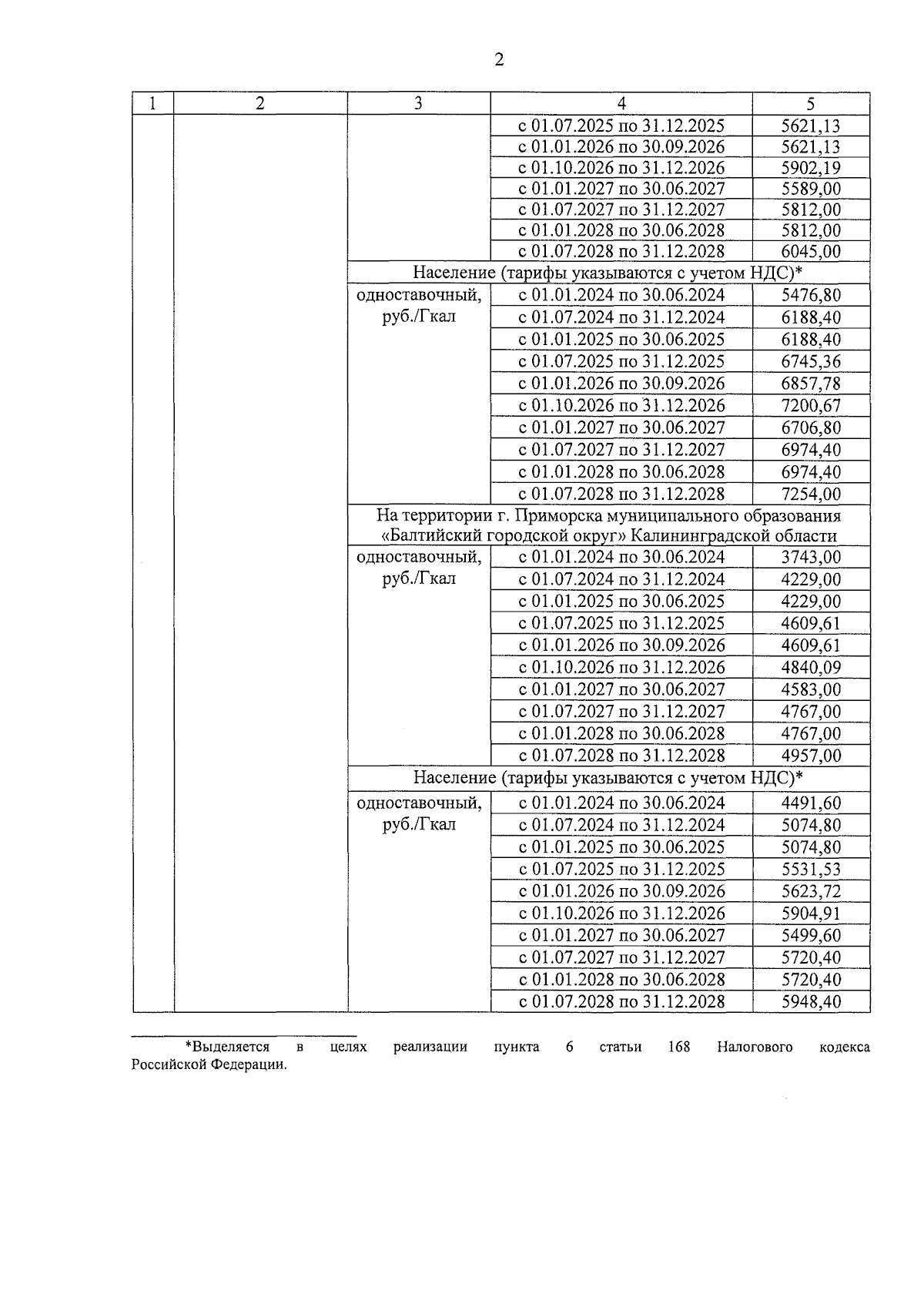
Приказ Службы по государственному регулированию цен и тарифов Калининградской области от 19.12.2025 № 107-12т/25
"О внесении изменений в приказ Службы по государственному регулированию цен и тарифов Калининградской области от 11 декабря 2023 года № 88-16т/23 "Об установлении тарифов на тепловую энергию (мощность), поставляемую МУП "Тепловые сети г. Балтийска" потребителям на территории муниципального образования "Балтийский городской округ", на 2024-2028 годы"
(Зарегистрирован 22.12.2025 № ГР/1044/2025)
Номер опубликования: 3901202512250038
Дата опубликования: 25.12.2025
Страница №4 из 5:
Увеличить