Официальное опубликование правовых актов
ОФИЦИАЛЬНОЕ ОПУБЛИКОВАНИЕ
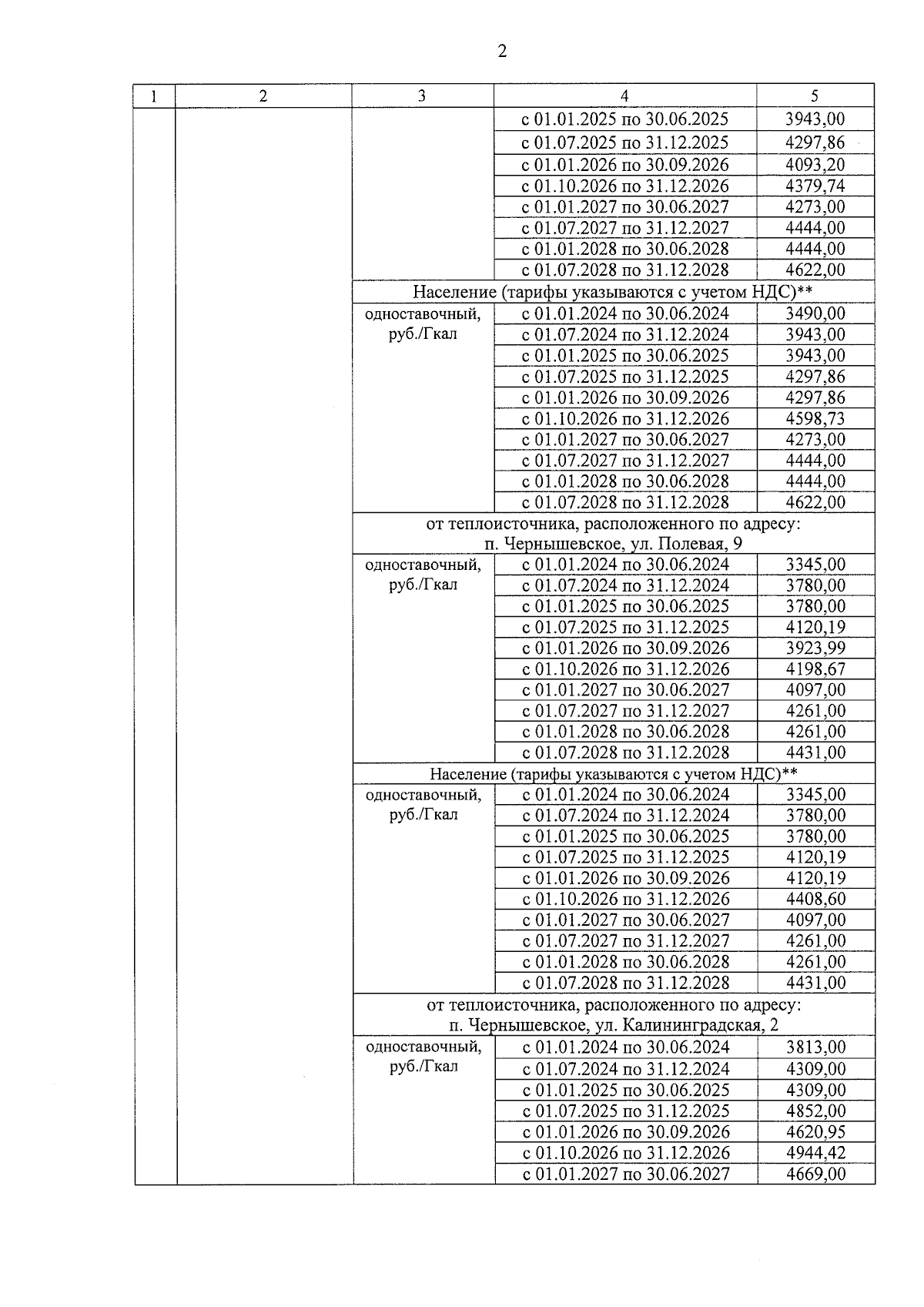
Приказ Службы по государственному регулированию цен и тарифов Калининградской области от 17.12.2025 № 101-27т/25
"О внесении изменений в приказ Службы по государственному регулированию цен и тарифов Калининградской области от 07 декабря 2023 года № 84-29т/23 "Об установлении тарифов на тепловую энергию (мощность), поставляемую МУП "Нестеров-транзит" потребителям на территории муниципального образования "Нестеровский муниципальный округ Калининградской области", на 2024-2028 годы"
(Зарегистрирован 22.12.2025 № ГР/992/2025)
Номер опубликования: 3901202512250001
Дата опубликования: 25.12.2025
Страница №4 из 5:
Увеличить