Официальное опубликование правовых актов
ОФИЦИАЛЬНОЕ ОПУБЛИКОВАНИЕ
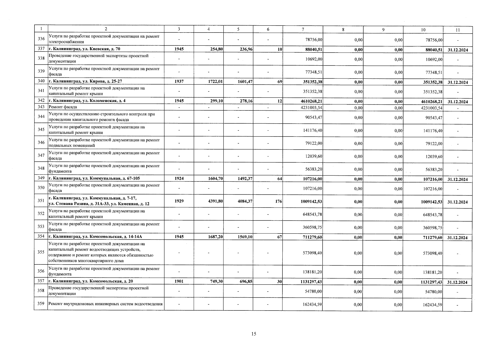
Приказ Министерства строительства и жилищно-коммунального хозяйства Калининградской области от 22.12.2025 № 97
"О внесении изменений в краткосрочный план реализации на 2024 – 2026 годы региональной программы капитального ремонта общего имущества в многоквартирных домах, расположенных на территории Калининградской области"
(Зарегистрирован 23.12.2025 № ГР/1057/2025)
Номер опубликования: 3901202512240001
Дата опубликования: 24.12.2025
Страница №17 из 311:
Увеличить