Приказ Службы по государственному регулированию цен и тарифов Калининградской области от 17.12.2025 № 99-05н/25
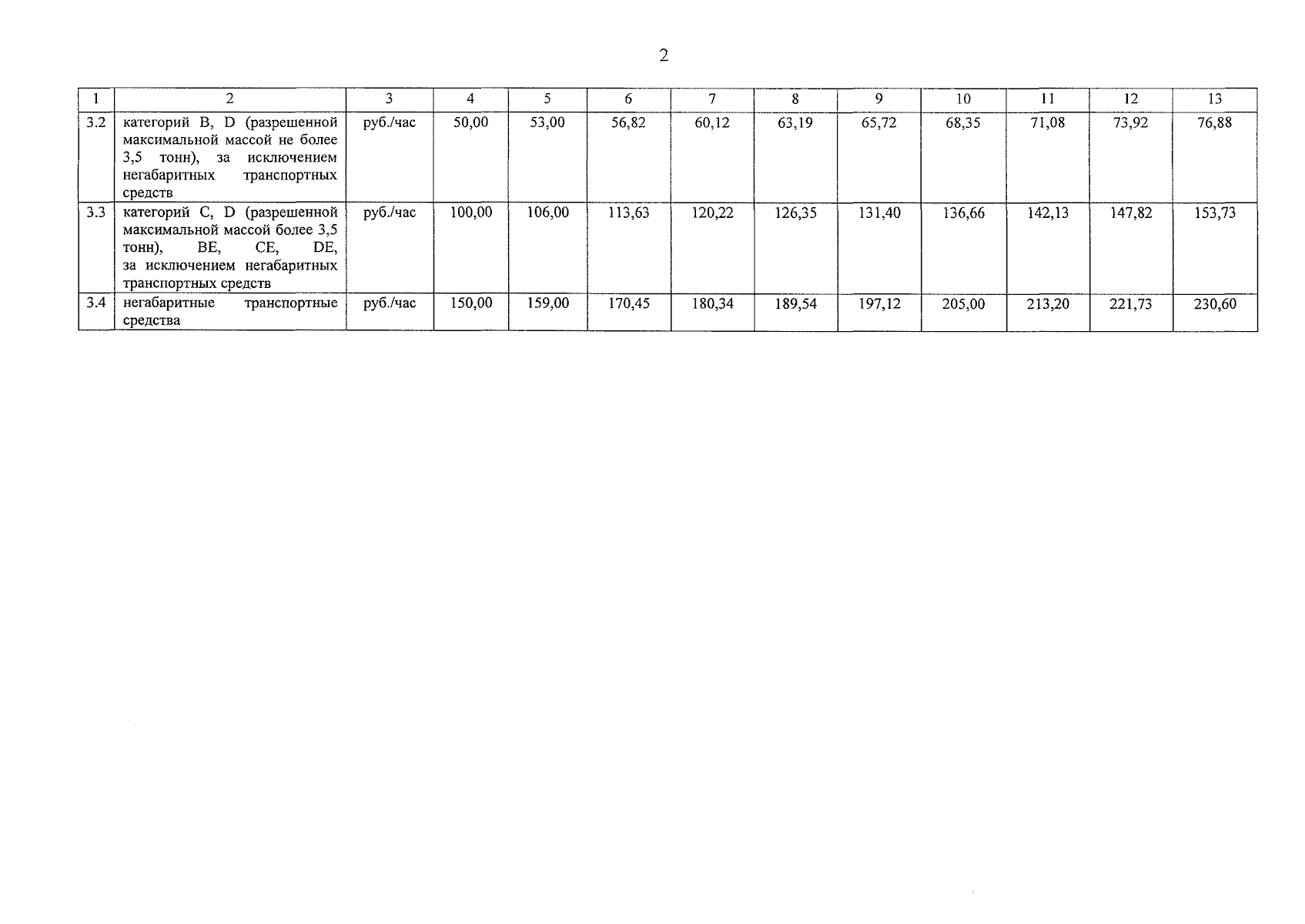
"О внесении изменений в приказ Службы по государственному регулированию цен и тарифов Калининградской области от 29 декабря 2021 года № 88-02н/21 "Об установлении тарифов на перемещение и хранение задержанных транспортных средств на специализированной стоянке на территории обслуживания муниципального образования "Гусевский городской округ" на 2022-2031 годы"
(Зарегистрирован 22.12.2025 № ГР/964/2025)
"О внесении изменений в приказ Службы по государственному регулированию цен и тарифов Калининградской области от 29 декабря 2021 года № 88-02н/21 "Об установлении тарифов на перемещение и хранение задержанных транспортных средств на специализированной стоянке на территории обслуживания муниципального образования "Гусевский городской округ" на 2022-2031 годы"
(Зарегистрирован 22.12.2025 № ГР/964/2025)
Номер опубликования: 3901202512230037
Дата опубликования:
23.12.2025
