Официальное опубликование правовых актов
ОФИЦИАЛЬНОЕ ОПУБЛИКОВАНИЕ
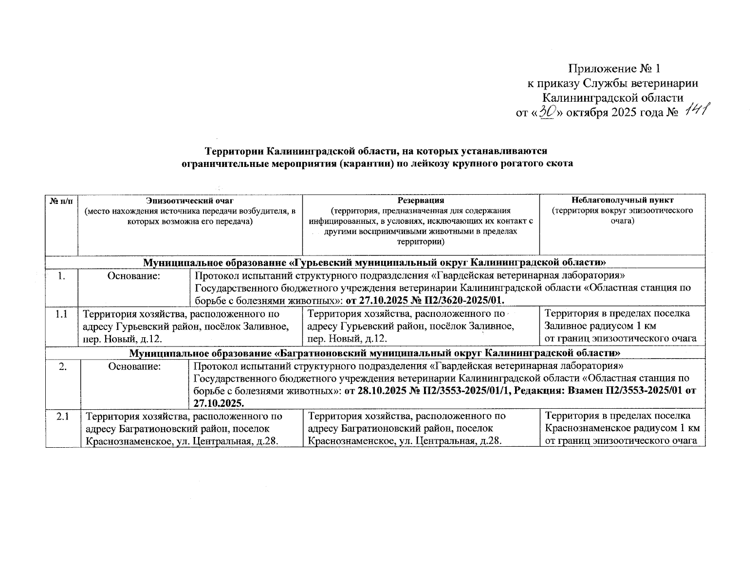
Приказ Службы ветеринарии Калининградской области от 30.10.2025 № 141
"Об установлении ограничительных мероприятий (карантинов) по лейкозу крупного рогатого скота на отдельных территориях Калининградской области"
(Зарегистрирован 30.10.2025 № ГР/765/2025)
Номер опубликования: 3901202510300008
Дата опубликования: 30.10.2025
Страница №4 из 9:
Увеличить