Официальное опубликование правовых актов
ОФИЦИАЛЬНОЕ ОПУБЛИКОВАНИЕ
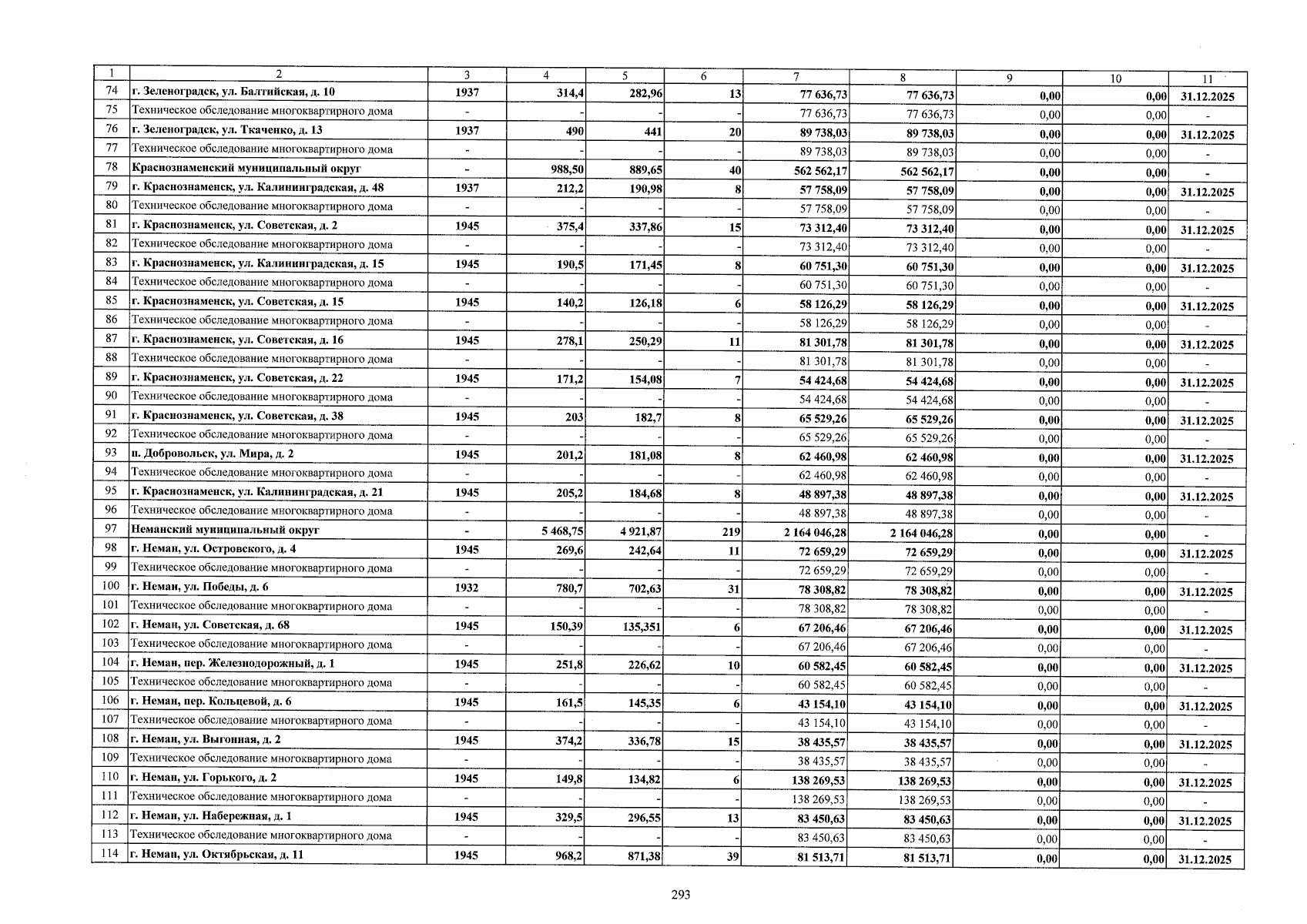
Приказ Министерства строительства и жилищно-коммунального хозяйства Калининградской области от 29.09.2025 № 81
"О внесении изменений в краткосрочный план реализации на 2024 – 2026 годы региональной программы капитального ремонта общего имущества в многоквартирных домах, расположенных на территории Калининградской области"
(Зарегистрирован 30.09.2025 № ГР/691/2025)
Номер опубликования: 3901202510010001
Дата опубликования: 01.10.2025
Страница №295 из 300:
Увеличить