Официальное опубликование правовых актов
ОФИЦИАЛЬНОЕ ОПУБЛИКОВАНИЕ
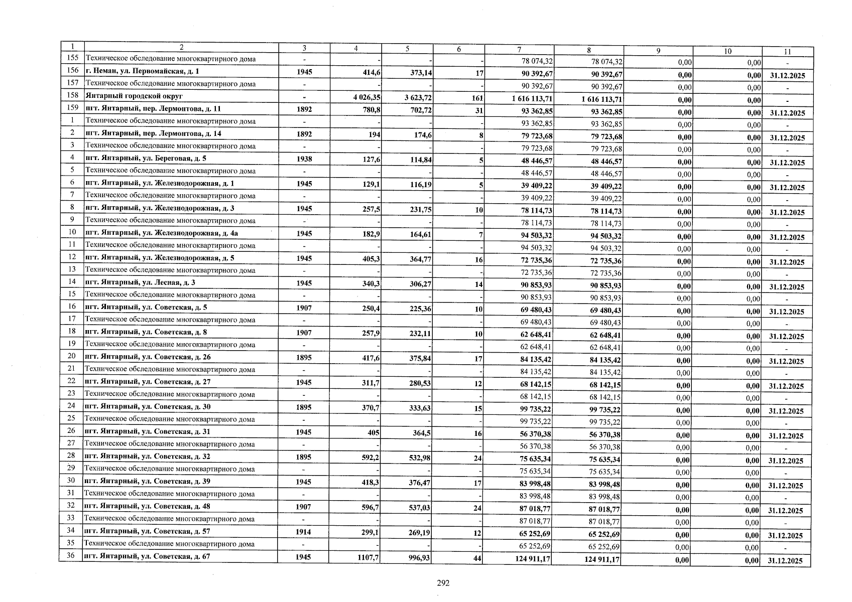
Приказ Министерства строительства и жилищно-коммунального хозяйства Калининградской области от 04.08.2025 № 68
"О внесении изменений в краткосрочный план реализации на 2024 – 2026 годы региональной программы капитального ремонта общего имущества в многоквартирных домах, расположенных на территории Калининградской области"
(Зарегистрирован 04.08.2025 № ГР/557/2025)
Номер опубликования: 3901202508070001
Дата опубликования: 07.08.2025
Страница №294 из 295:
Увеличить