Официальное опубликование правовых актов
ОФИЦИАЛЬНОЕ ОПУБЛИКОВАНИЕ
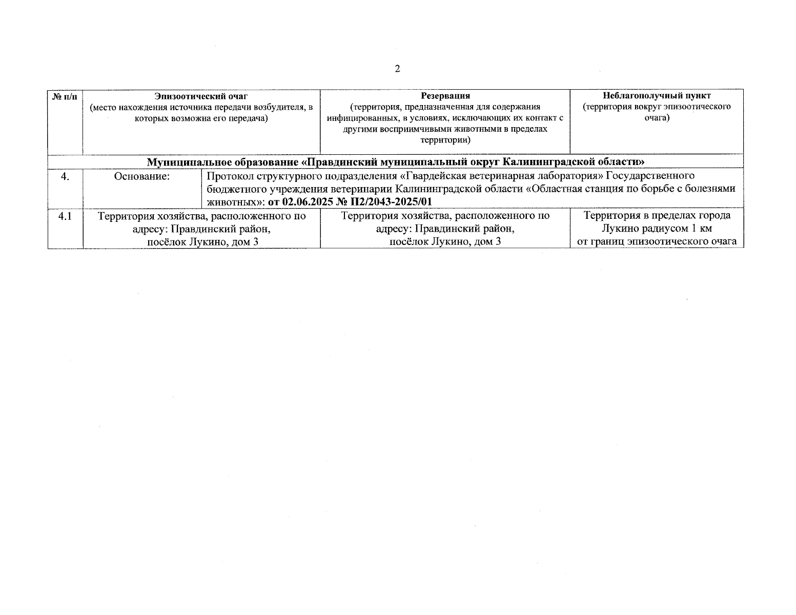
Приказ Службы ветеринарии Калининградской области от 05.06.2025 № 70
"Об установлении ограничительных мероприятий (карантинов) по лейкозу крупного рогатого скота на территориях муниципальных образований Калининградской области"
(Зарегистрирован 06.06.2025 № ГР/409/2025)
Номер опубликования: 3901202506090001
Дата опубликования: 09.06.2025
Страница №5 из 12:
Увеличить