Официальное опубликование правовых актов
ОФИЦИАЛЬНОЕ ОПУБЛИКОВАНИЕ
Приказ Министерства градостроительной политики Калининградской области от 07.04.2025 № 88
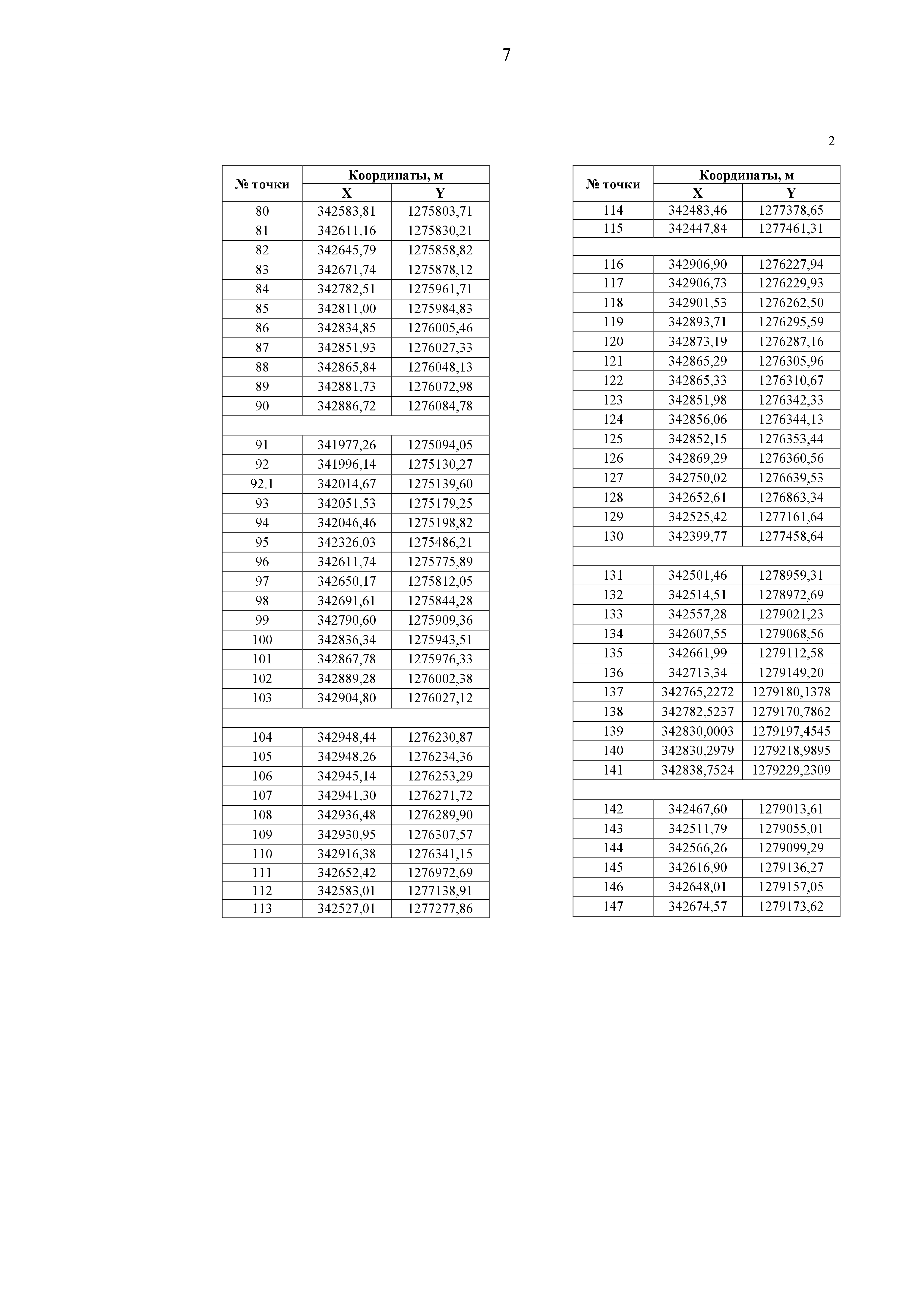
"Об утверждении проекта планировки территории с проектом межевания в его составе, предусматривающего размещение линейного объекта регионального значения "Строительство обхода г. Черняховска" (Строительство автомобильной дороги регионального значения от автомобильной дороги "Черняховск – Крылово" до автомобильной дороги "Черняховск – Озерск") муниципального образования "Черняховский муниципальный округ" Калининградской области"
(Зарегистрирован 08.04.2025 № ГР/247/2025)
Номер опубликования: 3901202504090005
Дата опубликования: 09.04.2025
Страница №9 из 57: