Официальное опубликование правовых актов
ОФИЦИАЛЬНОЕ ОПУБЛИКОВАНИЕ
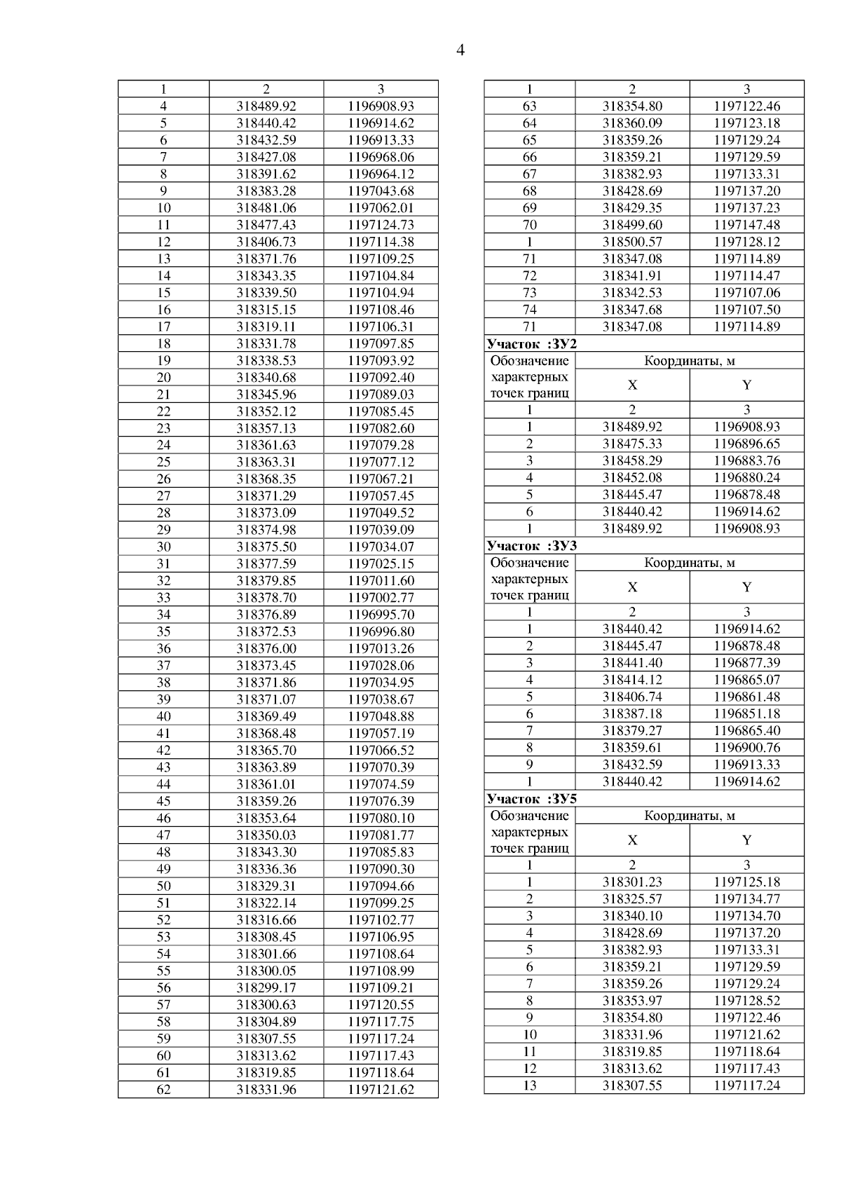
Приказ Министерства градостроительной политики Калининградской области от 13.03.2025 № 61
"Об утверждении проекта межевания территории по ул. Замковой в г. Багратионовске Калининградской области"
(Зарегистрирован 13.03.2025 № ГР/205/2025)
Номер опубликования: 3901202503140002
Дата опубликования: 14.03.2025
Страница №6 из 9:
Увеличить