Официальное опубликование правовых актов
ОФИЦИАЛЬНОЕ ОПУБЛИКОВАНИЕ
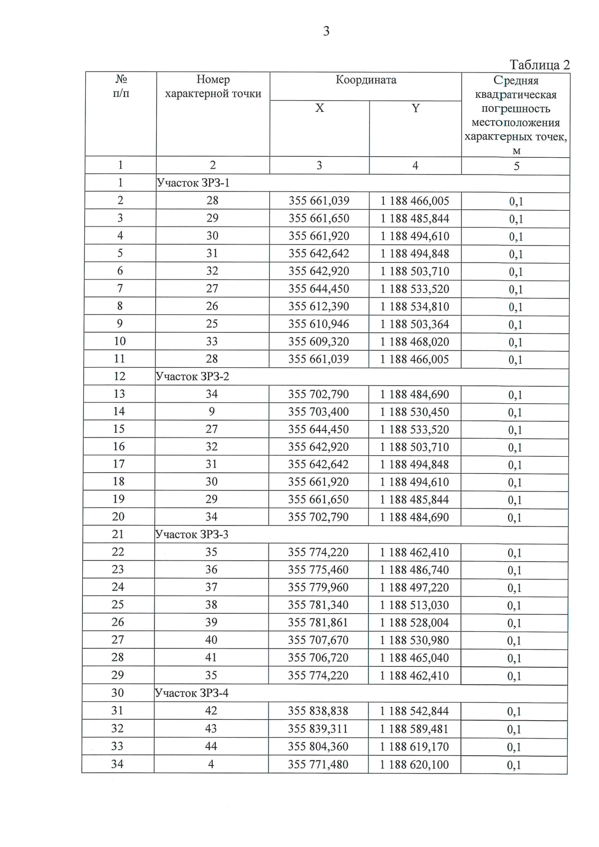
Приказ Службы государственной охраны объектов культурного наследия Калининградской области от 27.02.2025 № 88
"Об установлении зон охраны объекта культурного наследия регионального значения "Здание Верховной дирекции почт", 1916 год, Калининградская область, город Калининград, улица Грекова, 2, и утверждении требований к градостроительным регламентам в границах территорий данных зон"
(Зарегистрирован 03.03.2025 № ГР/176/2025)
Номер опубликования: 3901202503050008
Дата опубликования: 05.03.2025
Страница №5 из 10:
Увеличить