Официальное опубликование правовых актов
ОФИЦИАЛЬНОЕ ОПУБЛИКОВАНИЕ
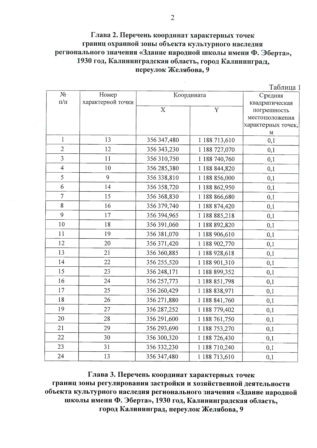
Приказ Службы государственной охраны объектов культурного наследия Калининградской области от 27.02.2025 № 85
"Об установлении зон охраны объекта культурного наследия регионального значения "Здание народной школы имени Ф. Эберта", 1930 год, Калининградская область, город Калининград, переулок Желябова, 9, и утверждении требований к градостроительным регламентам в границах территорий данных зон"
(Зарегистрирован 03.03.2025 № ГР/173/2025)
Номер опубликования: 3901202503050002
Дата опубликования: 05.03.2025
Страница №4 из 11:
Увеличить