Официальное опубликование правовых актов
ОФИЦИАЛЬНОЕ ОПУБЛИКОВАНИЕ
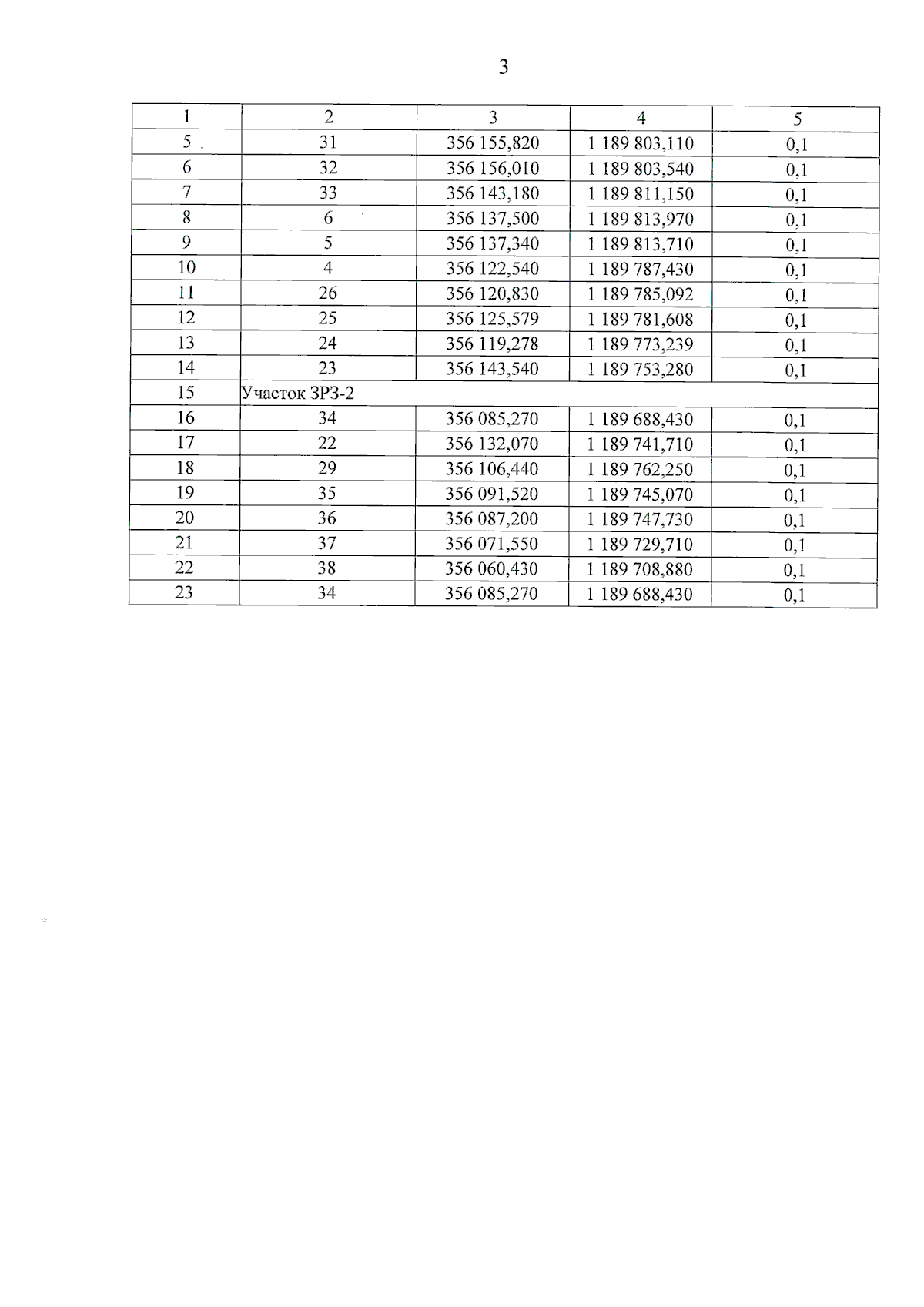
Приказ Службы государственной охраны объектов культурного наследия Калининградской области от 27.02.2025 № 94
"Об установлении зон охраны объекта культурного наследия местного (муниципального) значения "Дом жилой", начало XX века, Калининградская область, город Калининград, улица Госпитальная, 16, и утверждении требований к градостроительным регламентам в границах территорий данных зон"
(Зарегистрирован 03.03.2025 № ГР/182/2025)
Номер опубликования: 3901202503050001
Дата опубликования: 05.03.2025
Страница №5 из 10:
Увеличить