Официальное опубликование правовых актов
ОФИЦИАЛЬНОЕ ОПУБЛИКОВАНИЕ
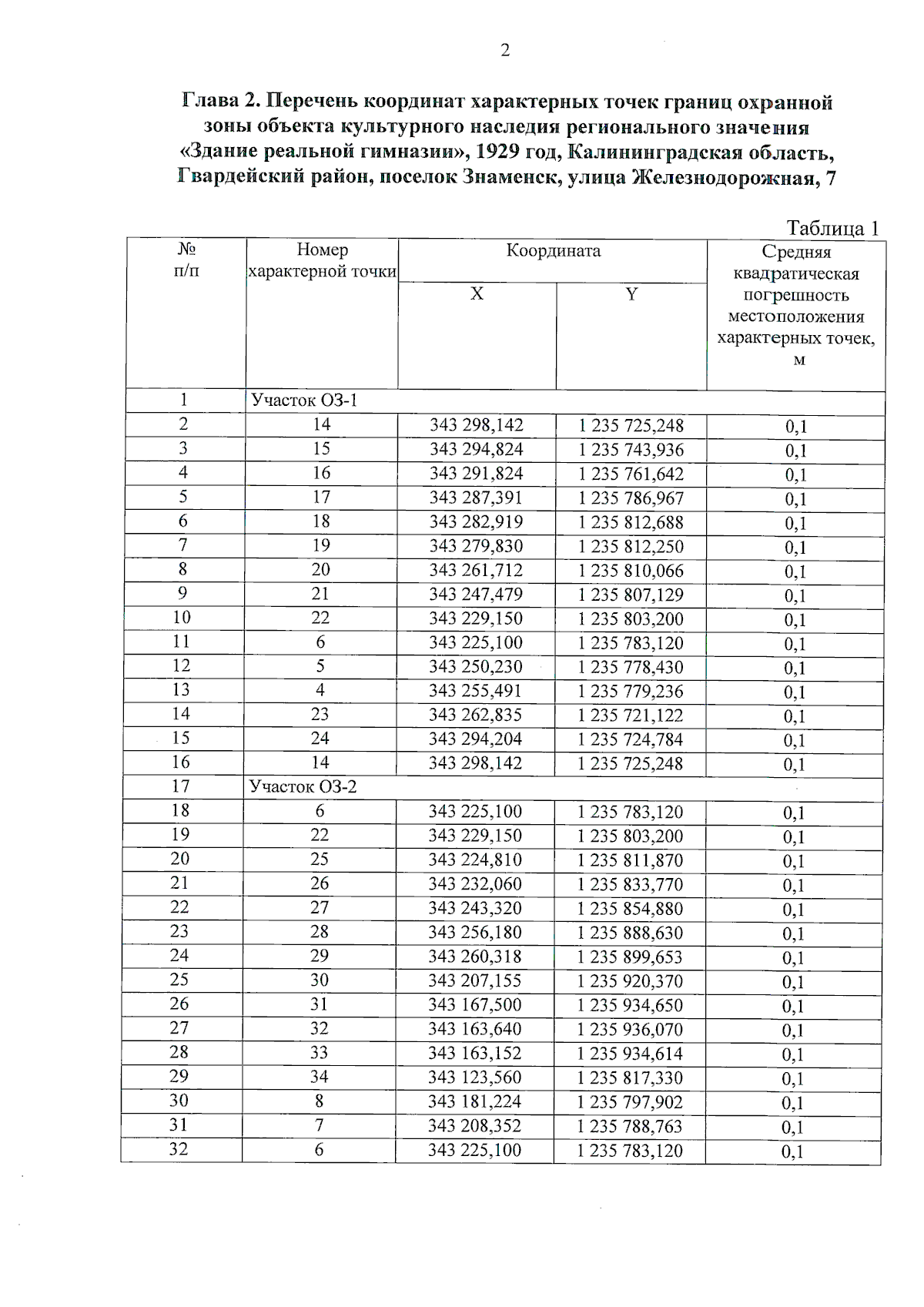
Приказ Службы государственной охраны объектов культурного наследия Калининградской области от 26.02.2025 № 82
"Об установлении зон охраны объекта культурного наследия регионального значения "Здание реальной гимназии", 1929 год, Калининградская область, Гвардейский район, поселок Знаменск, улица Железнодорожная, 7, и об утверждении требований к градостроительным регламентам в границах территорий данных зон"
(Зарегистрирован 28.02.2025 № ГР/170/2025)
Номер опубликования: 3901202503030011
Дата опубликования: 03.03.2025
Страница №4 из 11:
Увеличить