Официальное опубликование правовых актов
ОФИЦИАЛЬНОЕ ОПУБЛИКОВАНИЕ
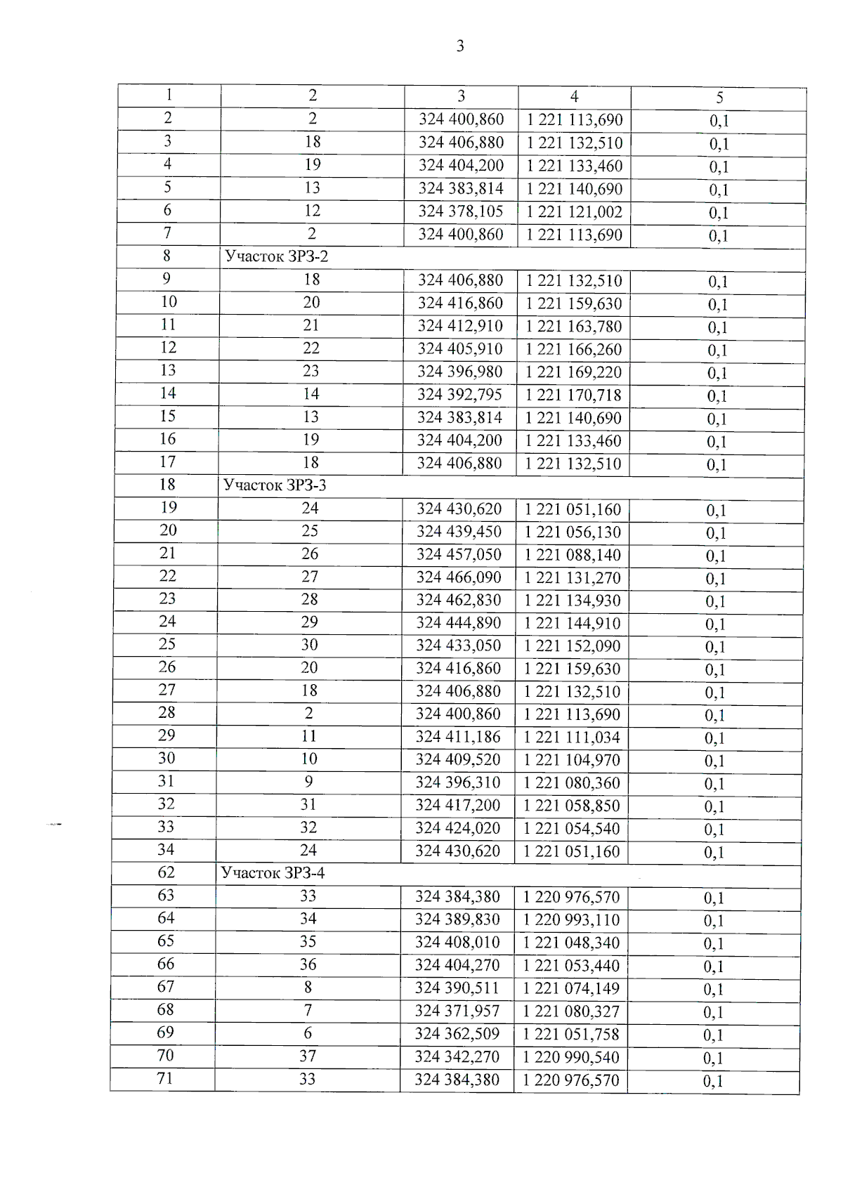
Приказ Службы государственной охраны объектов культурного наследия Калининградской области от 26.02.2025 № 83
"Об установлении зон охраны объекта культурного наследия регионального значения "Здание конторы газового завода", начало XX века, Калининградская область, город Правдинск, улица Кутузова, 54, и об утверждении требований к градостроительным регламентам в границах территорий данных зон"
(Зарегистрирован 28.02.2025 № ГР/171/2025)
Номер опубликования: 3901202503030010
Дата опубликования: 03.03.2025
Страница №5 из 13:
Увеличить