Официальное опубликование правовых актов
ОФИЦИАЛЬНОЕ ОПУБЛИКОВАНИЕ
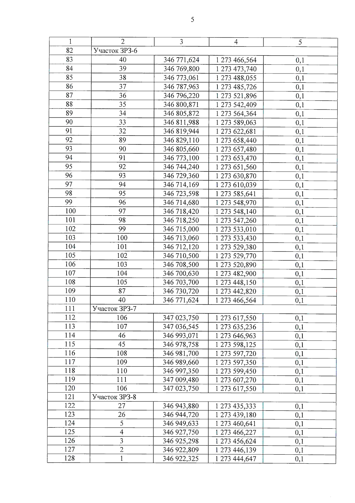
Приказ Службы государственной охраны объектов культурного наследия Калининградской области от 26.02.2025 № 77
"Об установлении зон охраны объекта культурного наследия регионального значения "Комплекс зданий тюрьмы (архитектор К. Шинкель)", 1835 год, Калининградская область, город Черняховск, улица Пригородная, 2, и об утверждении требований к градостроительным регламентам в границах территорий данных зон"
(Зарегистрирован 28.02.2025 № ГР/165/2025)
Номер опубликования: 3901202503030008
Дата опубликования: 03.03.2025
Страница №7 из 12:
Увеличить