Официальное опубликование правовых актов
ОФИЦИАЛЬНОЕ ОПУБЛИКОВАНИЕ
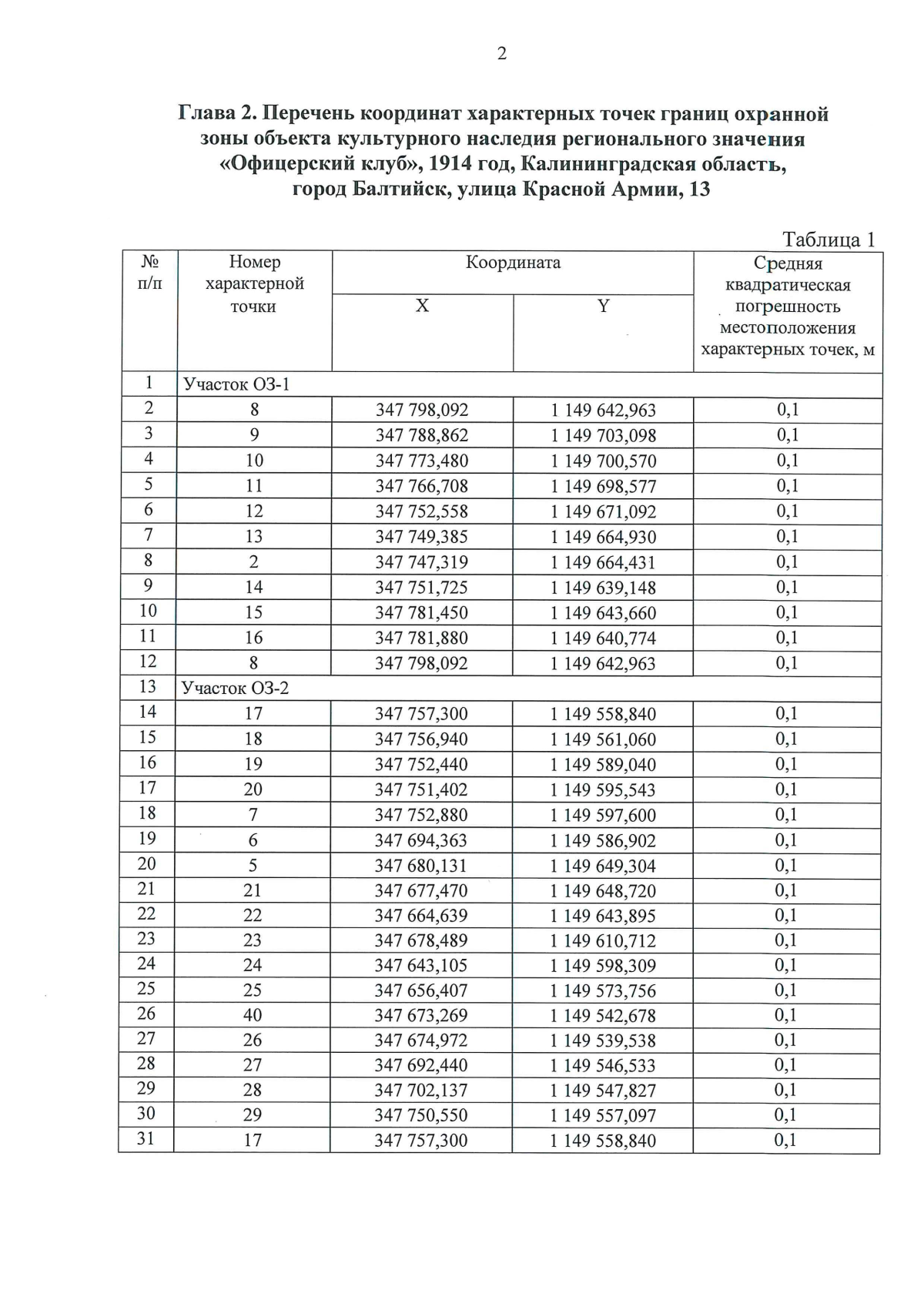
Приказ Службы государственной охраны объектов культурного наследия Калининградской области от 26.02.2025 № 78
"Об установлении зон охраны объекта культурного наследия регионального значения "Офицерский клуб", 1914 год, Калининградская область, город Балтийск, улица Красной Армии, 13, и об утверждении требований к градостроительным регламентам в границах территорий данных зон"
(Зарегистрирован 28.02.2025 № ГР/166/2025)
Номер опубликования: 3901202503030005
Дата опубликования: 03.03.2025
Страница №4 из 11:
Увеличить