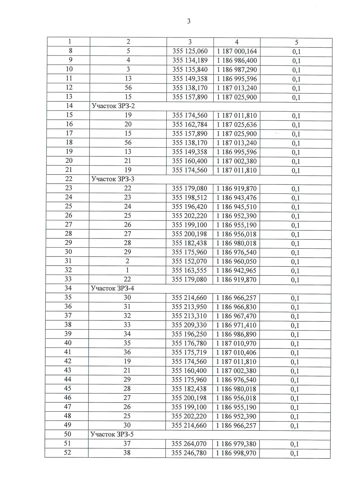
Приказ Службы государственной охраны объектов культурного наследия Калининградской области от 26.02.2025 № 81
"Об установлении зон охраны объекта культурного наследия регионального значения "Вилла (архитектор Ф. Хайтманн)", 1905 год, Калининградская область, город Калининград, улица Бородинская, 12, 14, и об утверждении требований к градостроительным регламентам в границах территорий данных зон"
(Зарегистрирован 28.02.2025 № ГР/169/2025)
"Об установлении зон охраны объекта культурного наследия регионального значения "Вилла (архитектор Ф. Хайтманн)", 1905 год, Калининградская область, город Калининград, улица Бородинская, 12, 14, и об утверждении требований к градостроительным регламентам в границах территорий данных зон"
(Зарегистрирован 28.02.2025 № ГР/169/2025)
Номер опубликования: 3901202503030003
Дата опубликования:
03.03.2025
