Официальное опубликование правовых актов
ОФИЦИАЛЬНОЕ ОПУБЛИКОВАНИЕ
Приказ Министерства социальной политики Калининградской области от 24.02.2025 № 11-НПА
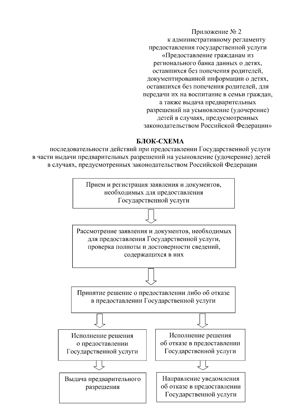
"О внесении изменений в приказ Министерства социальной политики Калининградской области от 19 апреля 2016 года № 217 "Об утверждении Административного регламента предоставления Министерством социальной политики Калининградской области государственной услуги по предоставлению гражданам информации о детях, оставшихся без попечения родителей, из регионального банка данных о детях, оставшихся без попечения родителей, для передачи их на воспитание в семьи граждан, выдаче предварительных разрешений на усыновление (удочерение) детей в случаях, предусмотренных законодательством Российской Федерации"
(Зарегистрирован 25.02.2025 № ГР/140/2025)
Номер опубликования: 3901202502270002
Дата опубликования: 27.02.2025
Страница №43 из 43:
Увеличить