Официальное опубликование правовых актов
ОФИЦИАЛЬНОЕ ОПУБЛИКОВАНИЕ
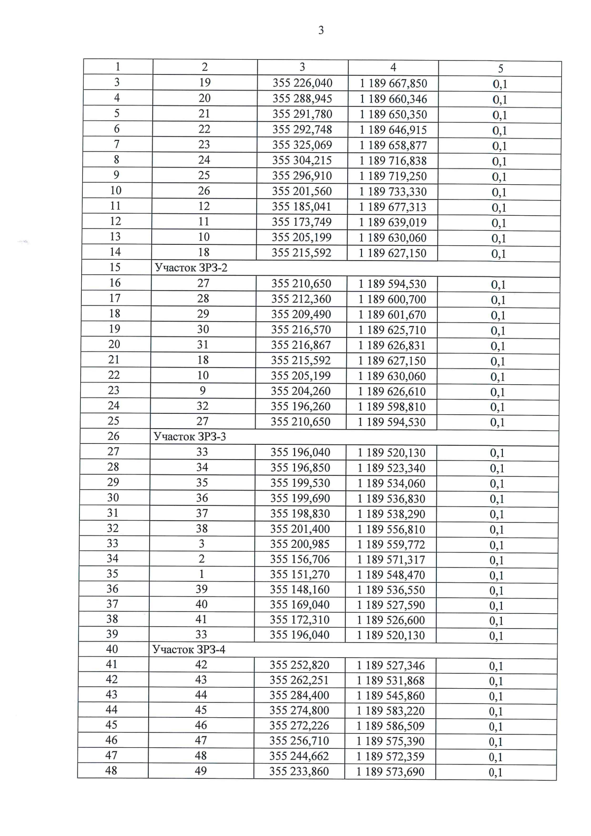
Приказ Службы государственной охраны объектов культурного наследия Калининградской области от 19.02.2025 № 56
"Об установлении зон охраны объекта культурного наследия регионального значения "Здание государственной строительной школы", 1897 год, Калининградская область, город Калининград, улица Генерала Соммера, 27, и об утверждении требований к градостроительным регламентам в границах территорий данных зон"
(Зарегистрирован 20.02.2025 № ГР/119/2025)
Номер опубликования: 3901202502210005
Дата опубликования: 21.02.2025
Страница №5 из 12:
Увеличить