Официальное опубликование правовых актов
ОФИЦИАЛЬНОЕ ОПУБЛИКОВАНИЕ
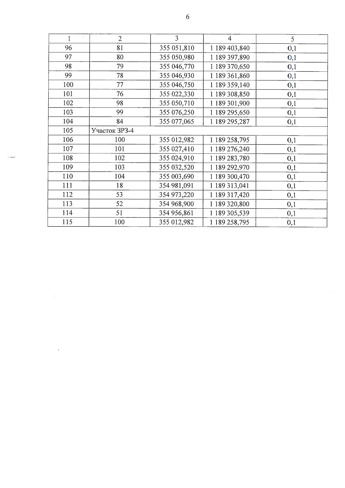
Приказ Службы государственной охраны объектов культурного наследия Калининградской области от 17.02.2025 № 52
"Об установлении зон охраны объекта культурного наследия регионального значения "Здание административное Отто Брауна", начало ХХ века, Калининградская область, город Калининград, улица Профессора Севастьянова, 3, 5, и об утверждении требований к градостроительным регламентам в границах территорий данных зон"
(Зарегистрирован 18.02.2025 № ГР/115/2025)
Номер опубликования: 3901202502190002
Дата опубликования: 19.02.2025
Страница №8 из 13:
Увеличить