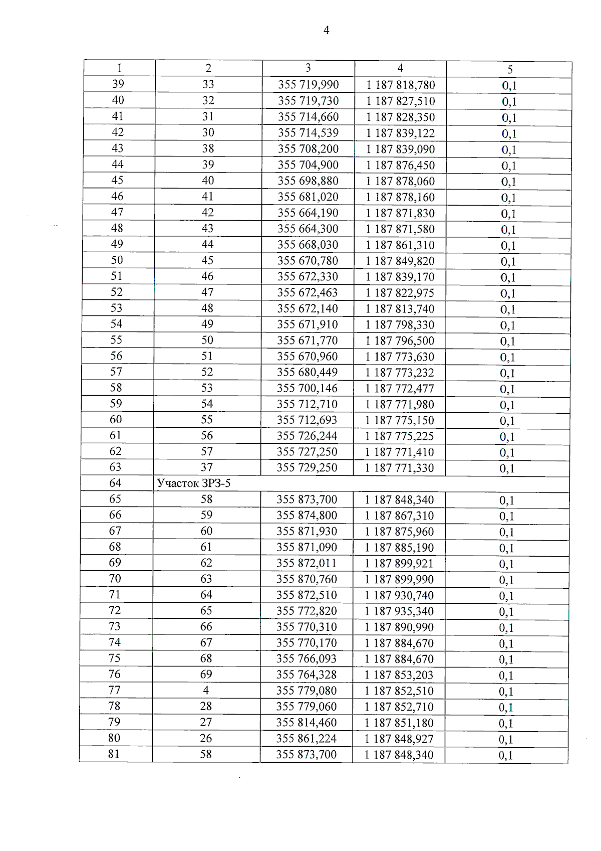
Приказ Службы государственной охраны объектов культурного наследия Калининградской области от 17.02.2025 № 50
"Об установлении зон охраны объекта культурного наследия регионального значения "Здание Хуфенского лицея с двумя скульптурными портретами над входом (скульптор С. Кауэр)", 1905 – 1924 годы, Калининградская область, город Калининград, улица Космонавта Леонова, 6, и об утверждении требований к градостроительным регламентам в границах территорий данных зон"
(Зарегистрирован 18.02.2025 № ГР/113/2025)
"Об установлении зон охраны объекта культурного наследия регионального значения "Здание Хуфенского лицея с двумя скульптурными портретами над входом (скульптор С. Кауэр)", 1905 – 1924 годы, Калининградская область, город Калининград, улица Космонавта Леонова, 6, и об утверждении требований к градостроительным регламентам в границах территорий данных зон"
(Зарегистрирован 18.02.2025 № ГР/113/2025)
Номер опубликования: 3901202502190001
Дата опубликования:
19.02.2025
