Официальное опубликование правовых актов
ОФИЦИАЛЬНОЕ ОПУБЛИКОВАНИЕ
Приказ Службы государственной охраны объектов культурного наследия Калининградской области от 28.01.2025 № 29
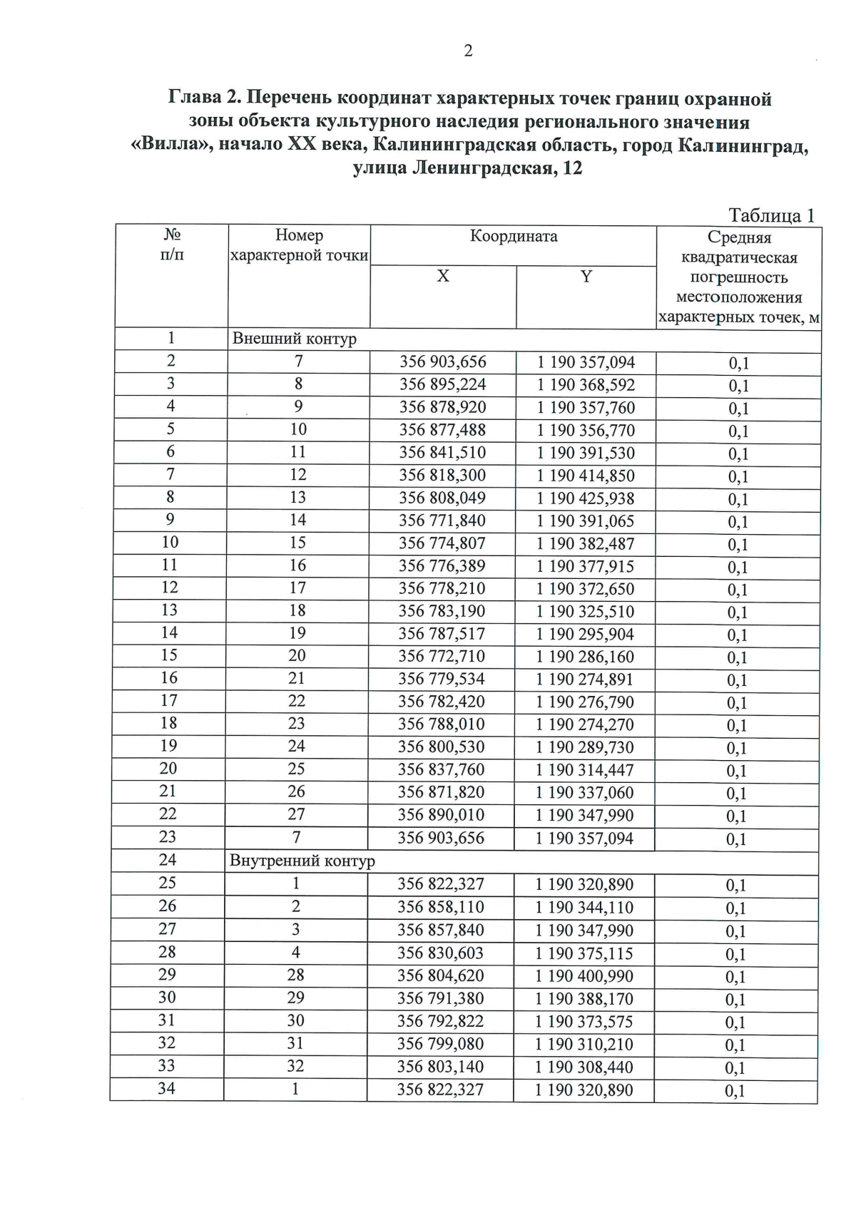
"Об установлении зон охраны объекта культурного наследия регионального значения "Вилла", начало ХХ века, Калининградская область, город Калининград, улица Ленинградская, 12, и об утверждении требований к градостроительным регламентам в границах территорий данных зон"
(Зарегистрирован 29.01.2025 № ГР/37/2025)
Номер опубликования: 3901202501300008
Дата опубликования: 30.01.2025
Страница №4 из 15:
Увеличить