Официальное опубликование правовых актов
ОФИЦИАЛЬНОЕ ОПУБЛИКОВАНИЕ
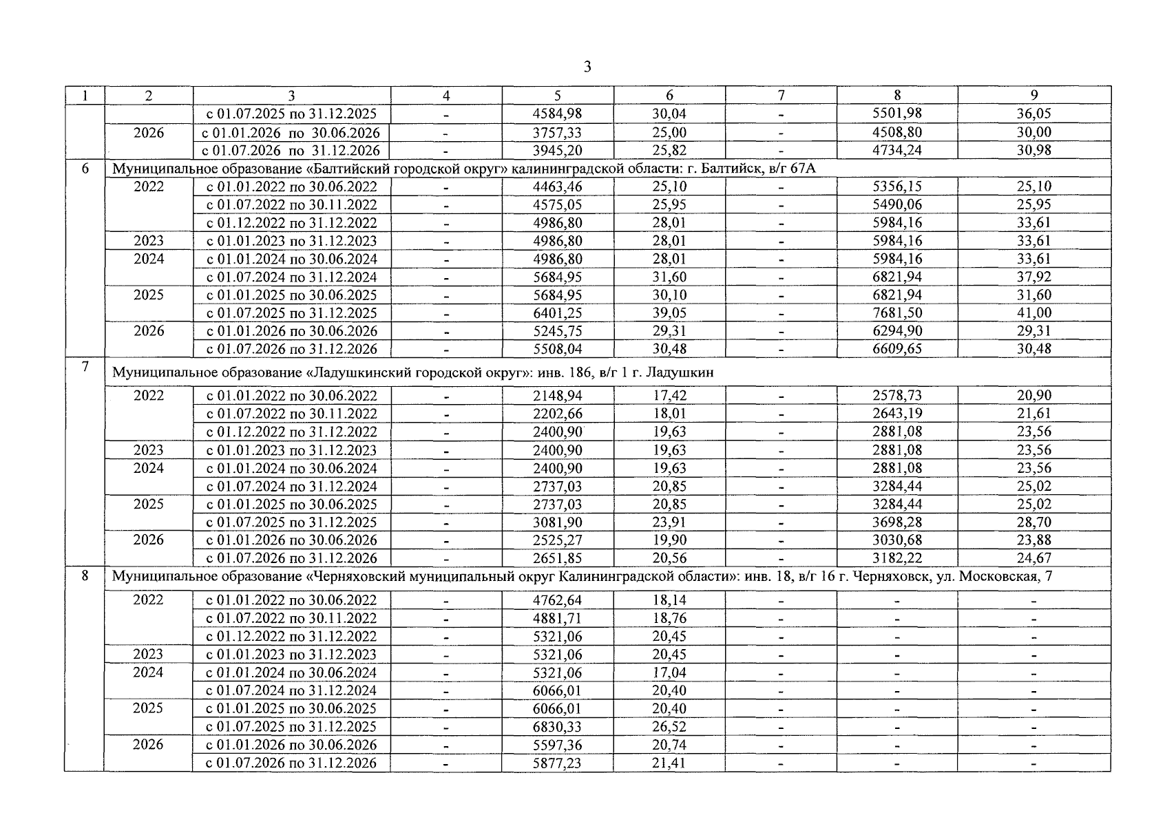
Приказ Службы по государственному регулированию цен и тарифов Калининградской области от 19.12.2024 № 112-03т/24
"О внесении изменений в приказ Службы по государственному регулированию цен и тарифов Калининградской области от 20 декабря 2021 года № 79-03т/21"
(Зарегистрирован 23.12.2024 № ГР/1156/2024)
Номер опубликования: 3901202412250064
Дата опубликования: 25.12.2024
Страница №5 из 6:
Увеличить