Официальное опубликование правовых актов
ОФИЦИАЛЬНОЕ ОПУБЛИКОВАНИЕ
Приказ Службы по государственному регулированию цен и тарифов Калининградской области от 29.11.2024 № 96-04э/24
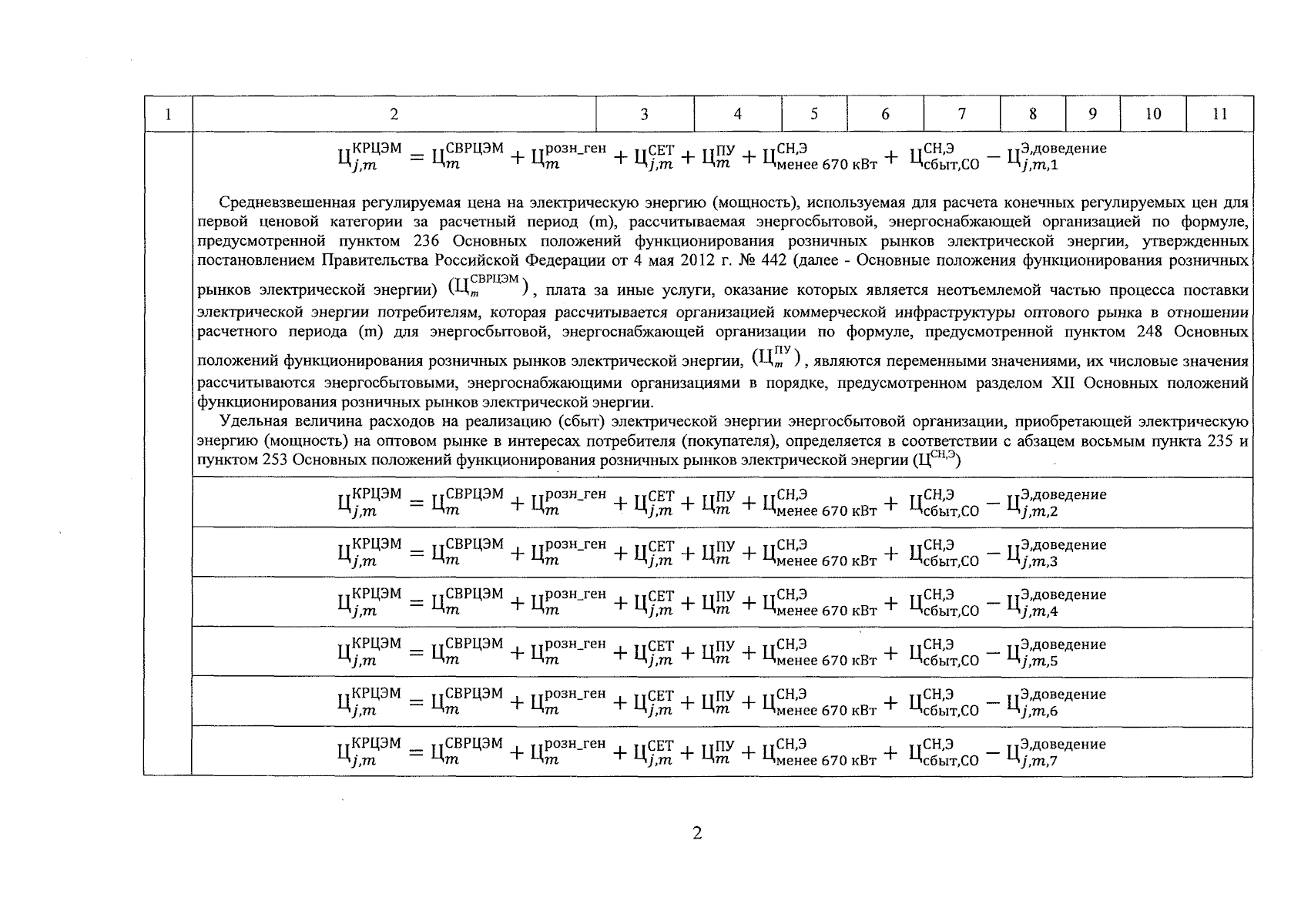
"Об установлении цен (тарифов) на электрическую энергию (мощность), приобретаемую у гарантирующего поставщика АО "Янтарьэнергосбыт" энергосбытовой организацией ООО "Электросеть", энергоснабжающими организациями АО "РЭК", АО "Западная энергетическая компания", ООО АО "Агропродукт" и поставляемую покупателям на розничном рынке Калининградской области, объединенной в неценовую зону оптового рынка, за исключением электрической энергии (мощности), поставляемой населению и приравненным к нему категориям потребителей, на 2025 год"
(Зарегистрирован 03.12.2024 № ГР/977/2024)
Номер опубликования: 3901202412050013
Дата опубликования: 05.12.2024
Страница №14 из 43:
Увеличить