Официальное опубликование правовых актов
ОФИЦИАЛЬНОЕ ОПУБЛИКОВАНИЕ
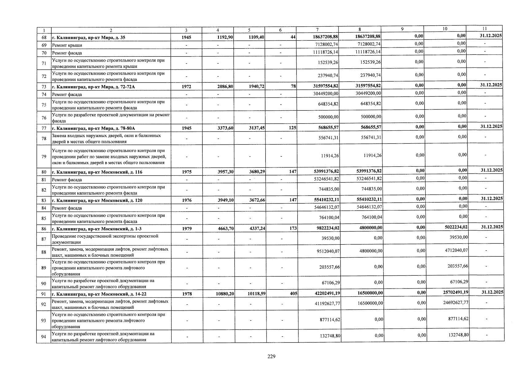
Приказ Министерства строительства и жилищно-коммунального хозяйства Калининградской области от 26.11.2024 № 106
"О внесении изменений в краткосрочный план реализации на 2024 – 2026 годы региональной программы капитального ремонта общего имущества в многоквартирных домах, расположенных на территории Калининградской области"
(Зарегистрирован 27.11.2024 № ГР/952/2024)
Номер опубликования: 3901202411280029
Дата опубликования: 28.11.2024
Страница №231 из 263:
Увеличить