Официальное опубликование правовых актов
ОФИЦИАЛЬНОЕ ОПУБЛИКОВАНИЕ
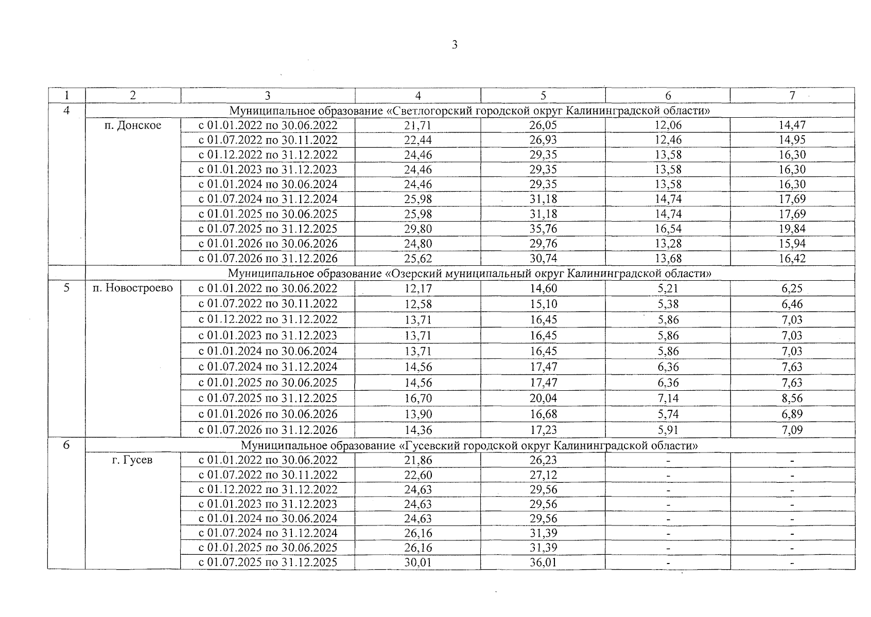
Приказ Службы по государственному регулированию цен и тарифов Калининградской области от 21.11.2024 № 90-01окк/24
"О внесении изменений в приказ Службы по государственному регулированию цен и тарифов Калининградской области от 07 декабря 2021 года № 66-10окк/21"
(Зарегистрирован 26.11.2024 № ГР/929/2024)
Номер опубликования: 3901202411280010
Дата опубликования: 28.11.2024
Страница №4 из 10:
Увеличить