Официальное опубликование правовых актов
ОФИЦИАЛЬНОЕ ОПУБЛИКОВАНИЕ
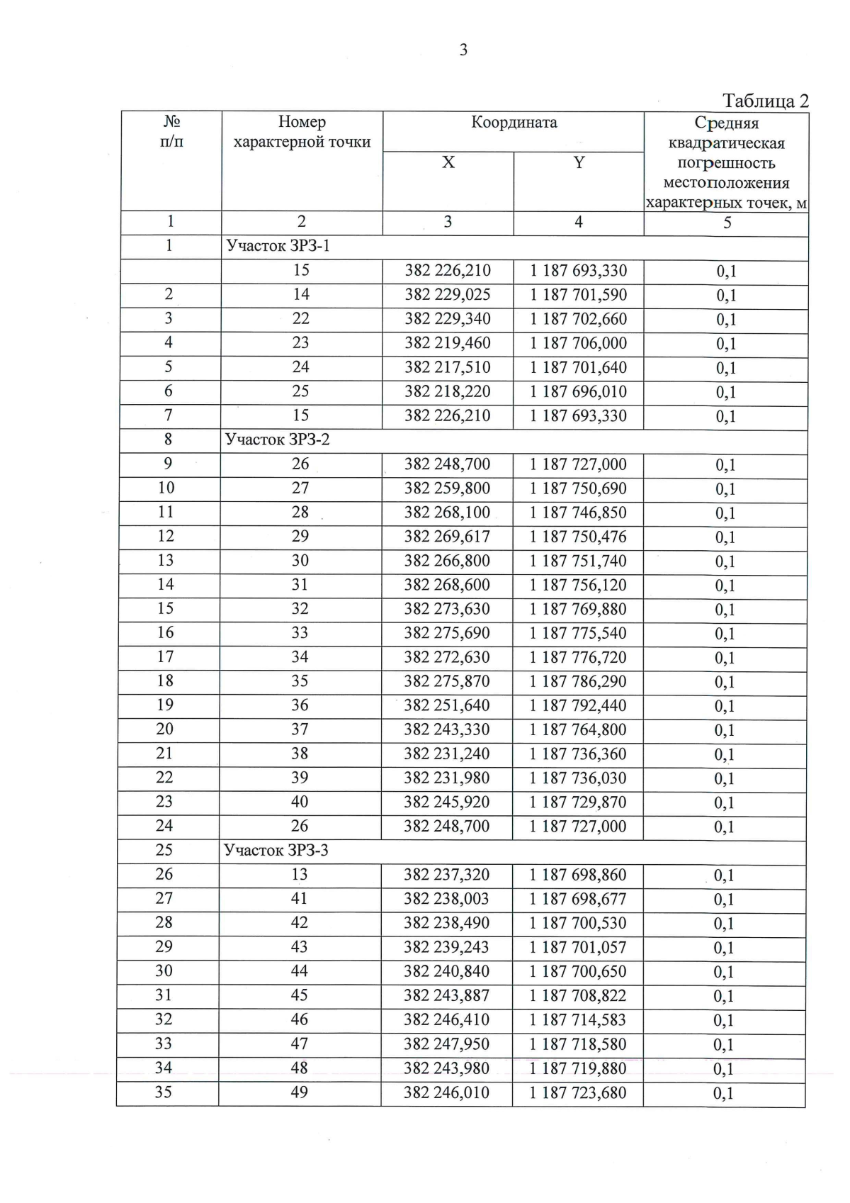
Приказ Службы государственной охраны объектов культурного наследия Калининградской области от 22.10.2024 № 381
"Об установлении зон охраны объекта культурного наследия местного (муниципального) значения "Здание почтамта", начало XX века, Калининградская область, город Зеленоградск, проспект Курортный, 29, и об утверждении требований к градостроительным регламентам в границах территорий данных зон"
(Зарегистрирован 23.10.2024 № ГР/823/2024)
Номер опубликования: 3901202410230001
Дата опубликования: 23.10.2024
Страница №5 из 11:
Увеличить