Официальное опубликование правовых актов
ОФИЦИАЛЬНОЕ ОПУБЛИКОВАНИЕ
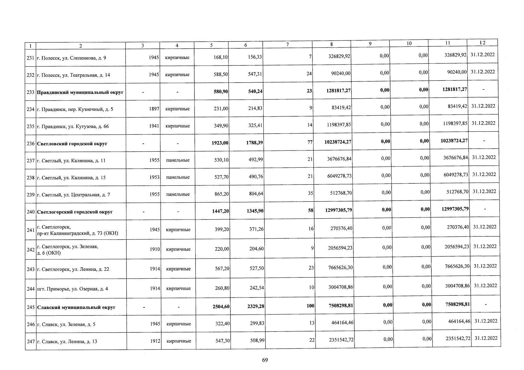
Приказ Министерства строительства и жилищно-коммунального хозяйства Калининградской области от 12.09.2024 № 80
"О внесении изменений в краткосрочный план реализации на 2021 – 2023 годы региональной программы капитального ремонта общего имущества в многоквартирных домах, расположенных на территории Калининградской области"
(Зарегистрирован 13.09.2024 № ГР/744/2024)
Номер опубликования: 3901202409170003
Дата опубликования: 17.09.2024
Страница №71 из 154:
Увеличить