Официальное опубликование правовых актов
ОФИЦИАЛЬНОЕ ОПУБЛИКОВАНИЕ
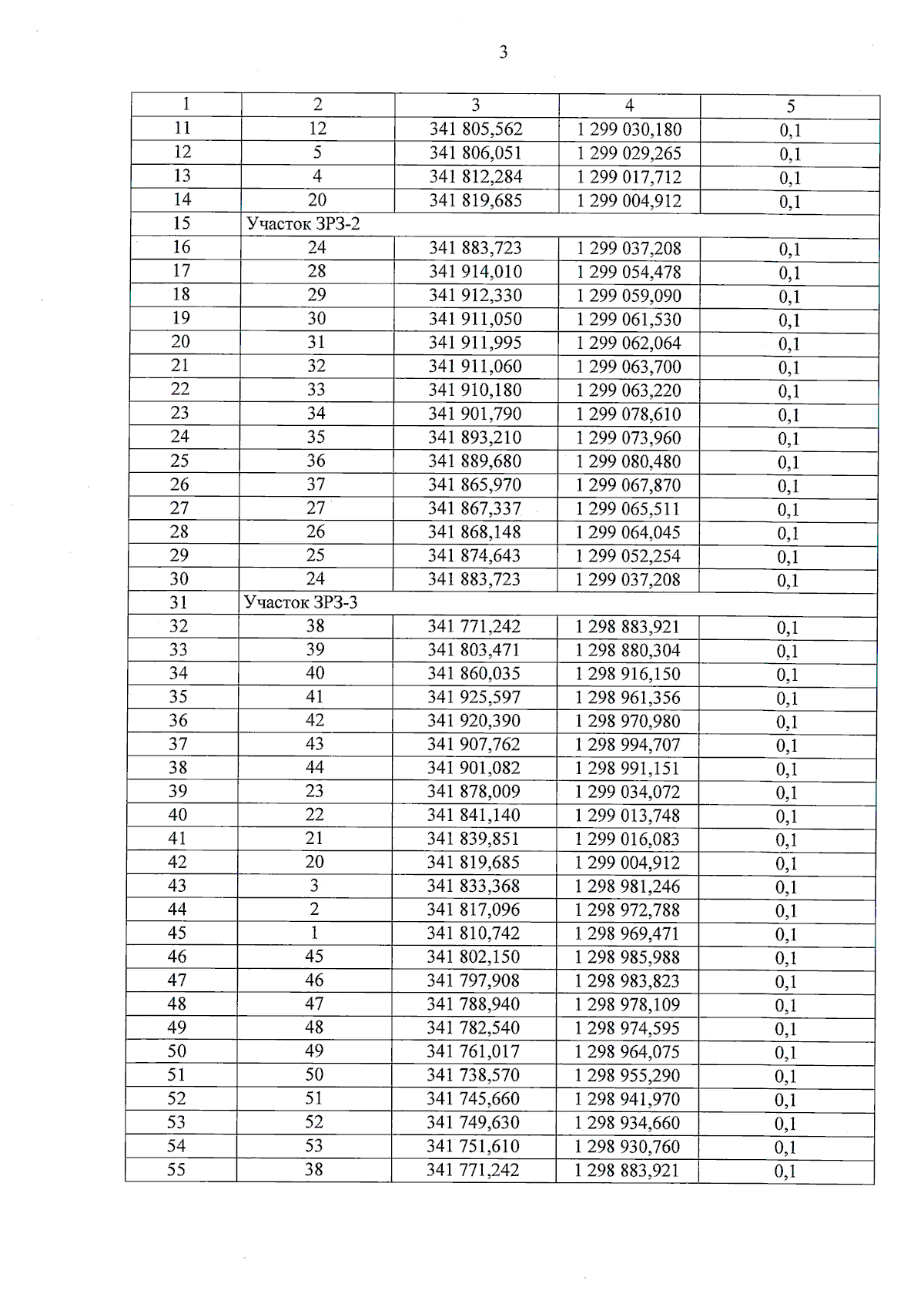
Приказ Службы государственной охраны объектов культурного наследия Калининградской области от 08.07.2024 № 236
"Об установлении зон охраны объекта культурного наследия местного (муниципального) значения "Дом жилой", конец ХIХ века, Калининградская область, город Гусев, улица Московская, 45 и об утверждении требований к градостроительным регламентам в границах территорий данных зон"
(Зарегистрирован 09.07.2024 № ГР/566/2024)
Номер опубликования: 3901202407090003
Дата опубликования: 09.07.2024
Страница №5 из 9:
Увеличить