Официальное опубликование правовых актов
ОФИЦИАЛЬНОЕ ОПУБЛИКОВАНИЕ
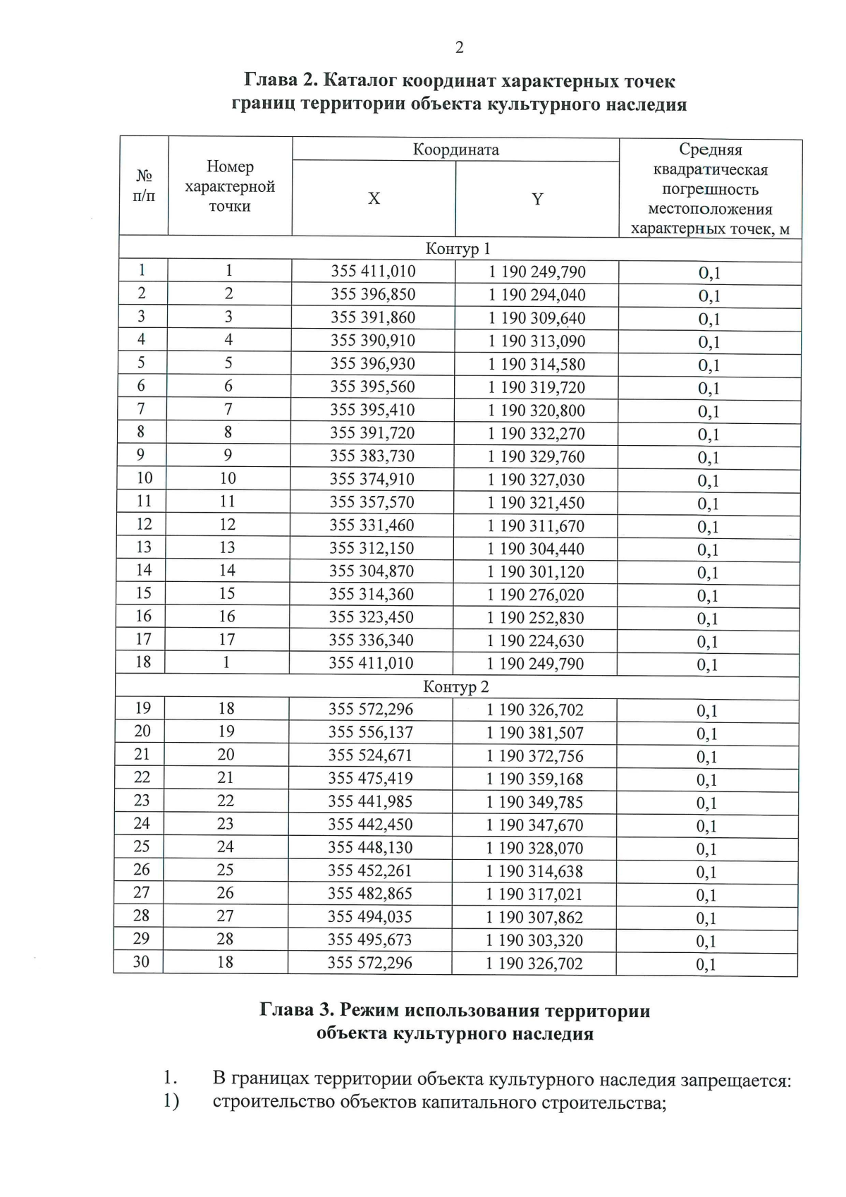
Приказ Службы государственной охраны объектов культурного наследия Калининградской области от 11.04.2024 № 134
"Об утверждении границ территории объекта культурного наследия регионального значения "Комплекс зданий городской больницы", ХIХ век, Калининградская область, город Калининград, улица Клиническая, 81, 81а, 83а, 83 литер Б"
(Зарегистрирован 12.04.2024 № ГР/303/2024)
Номер опубликования: 3901202404120015
Дата опубликования: 12.04.2024
Страница №4 из 5:
Увеличить