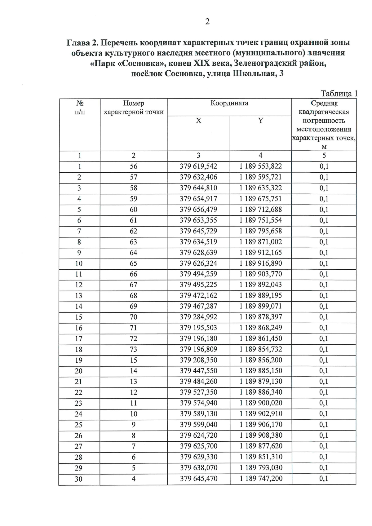
Приказ Службы государственной охраны объектов культурного наследия Калининградской области от 05.04.2024 № 124
"Об установлении зон охраны объекта культурного наследия местного (муниципального) значения "Парк "Сосновка", конец XIX века, Зеленоградский район, посёлок Сосновка, улица Школьная, 3 и утверждении требований к градостроительным регламентам в границах территорий данных зон"
(Зарегистрирован 08.04.2024 № ГР/277/2024)
"Об установлении зон охраны объекта культурного наследия местного (муниципального) значения "Парк "Сосновка", конец XIX века, Зеленоградский район, посёлок Сосновка, улица Школьная, 3 и утверждении требований к градостроительным регламентам в границах территорий данных зон"
(Зарегистрирован 08.04.2024 № ГР/277/2024)
Номер опубликования: 3901202404090001
Дата опубликования:
09.04.2024
